Ultimo aggiornamento :
27/04/2026
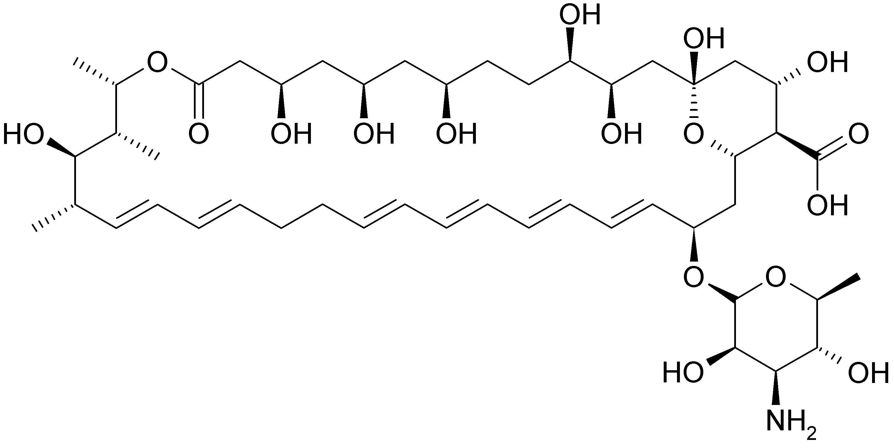
Antimicotico   Nystatin  
Collutorio
Stabilità dei preparati farmaceutici Stabilità in miscela Fattori che influenzano la stabilità Compatibilità Bibliografia pdf
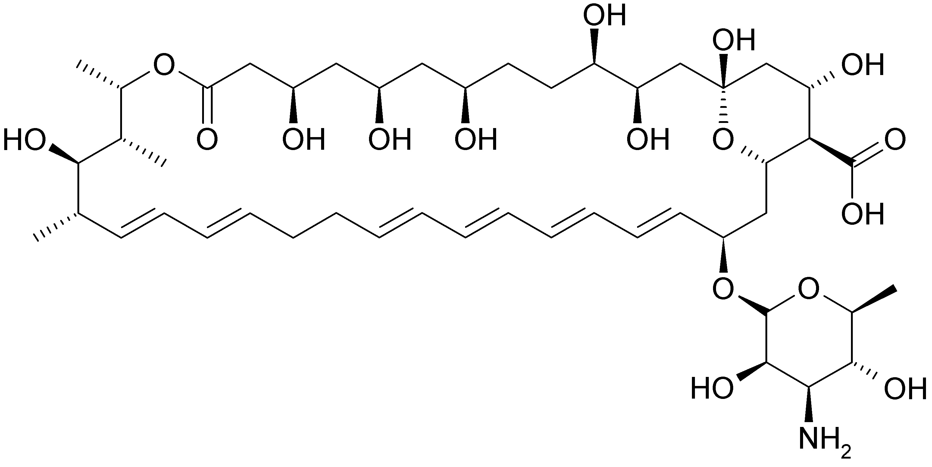
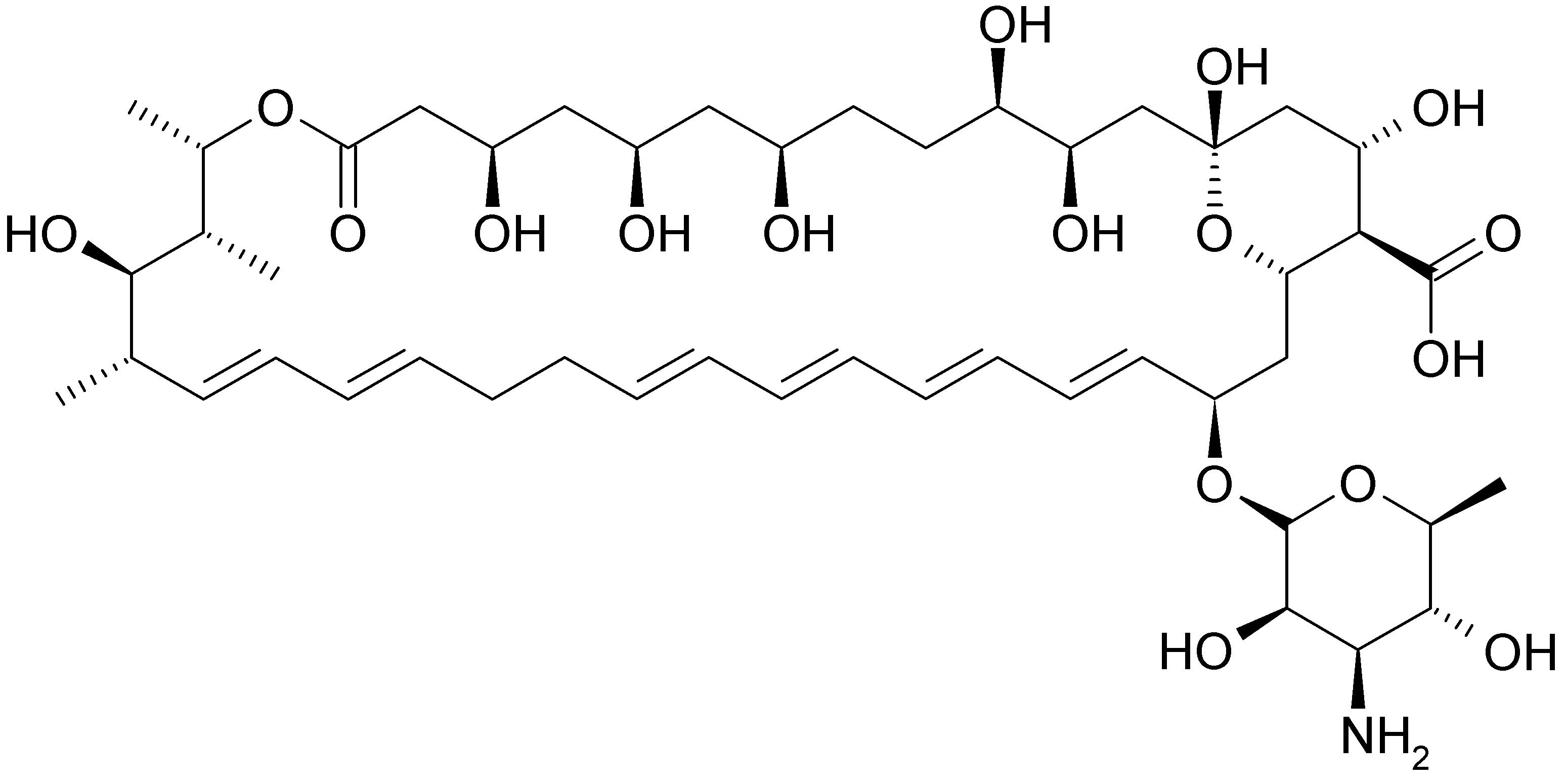
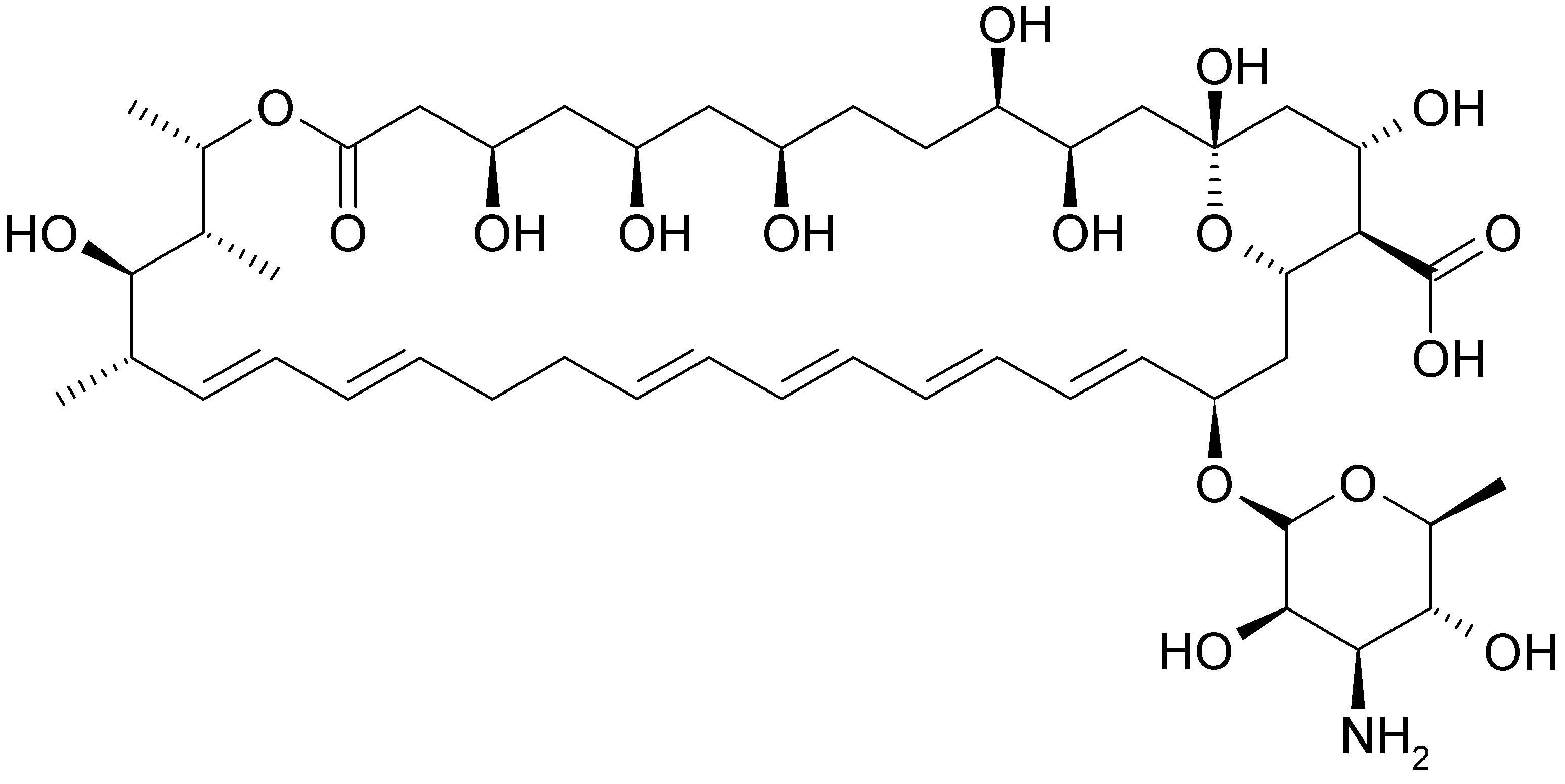
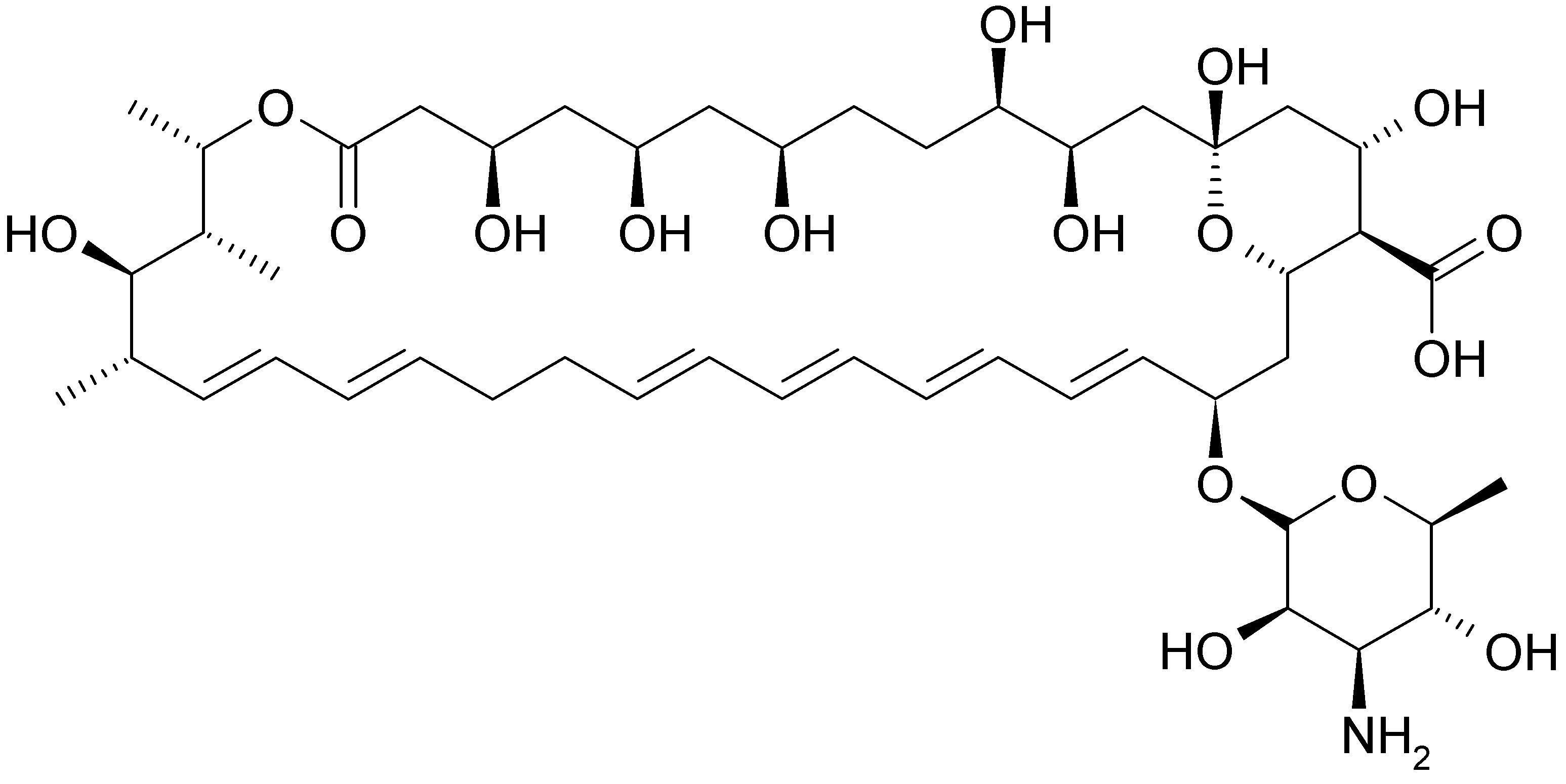
   Struttura chimica  

Collutorio

Fattori che influenzano la stabilità   Collutorio   Fattori che influenzano la stabilità : Nystatin        
Assenza di dati

  Mentions Légales