Laatste update :
27/04/2026
Antimycoticum   Nystatin  
gorgelen
Stabiliteit van farmaceutische preparaten Stabiliteit in mengsels Factoren die de stabiliteit beïnvloeden Verenigbaarheden Literatuur pdf
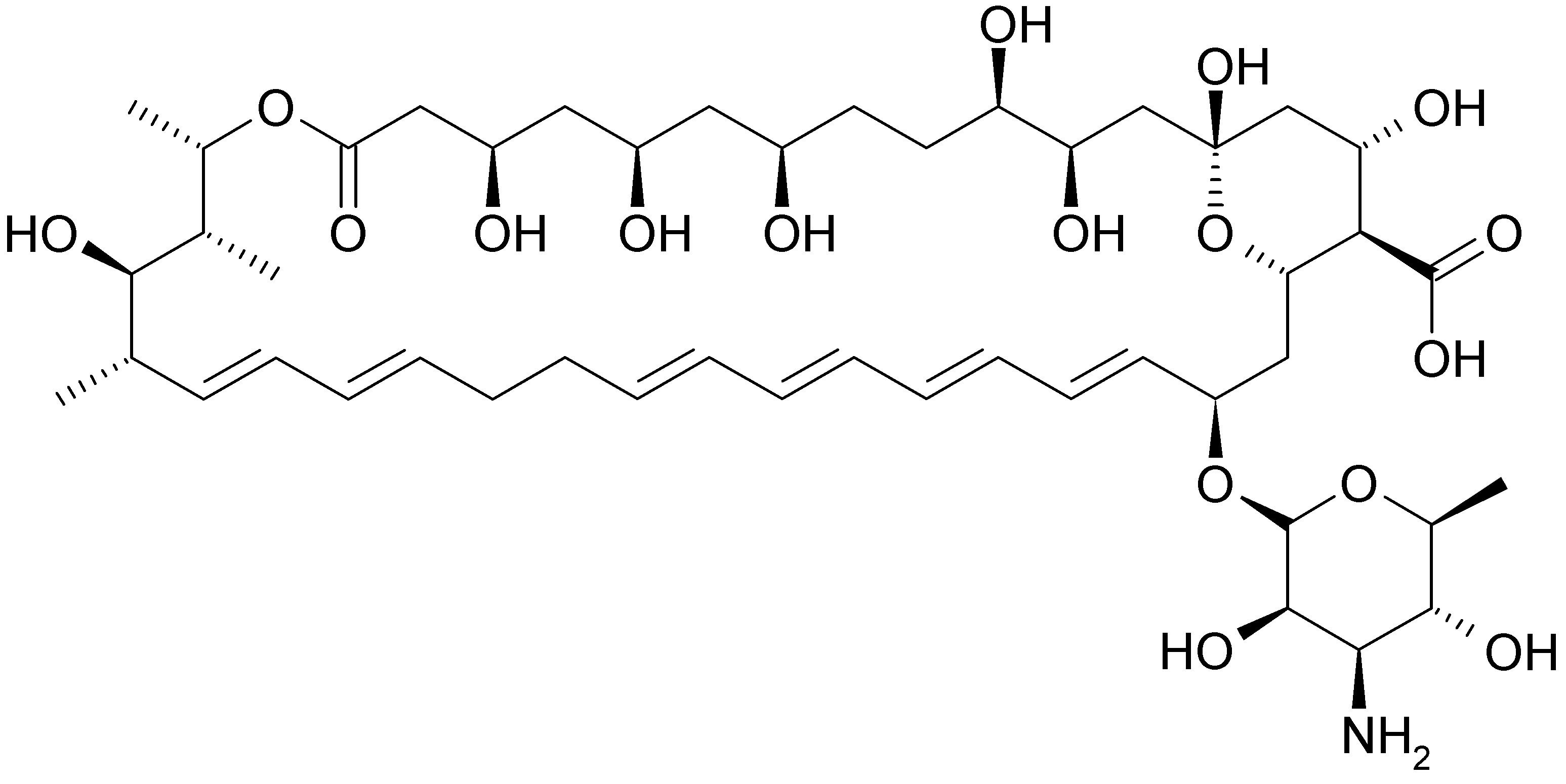
   Molecuulstructuur  

gorgelen

Factoren die de stabiliteit beïnvloeden   gorgelen   Factoren die de stabiliteit beïnvloeden : Nystatin        
geen gegevens

  Mentions Légales