Siste oppdatering :
27/04/2026
Fungicid   Nystatin  
Munnvann
Stabilitet av farmasøytiske preparater Stabilitet i blandinger Faktorer som påvirker stabiliteten Kompatibilitet Referanser pdf
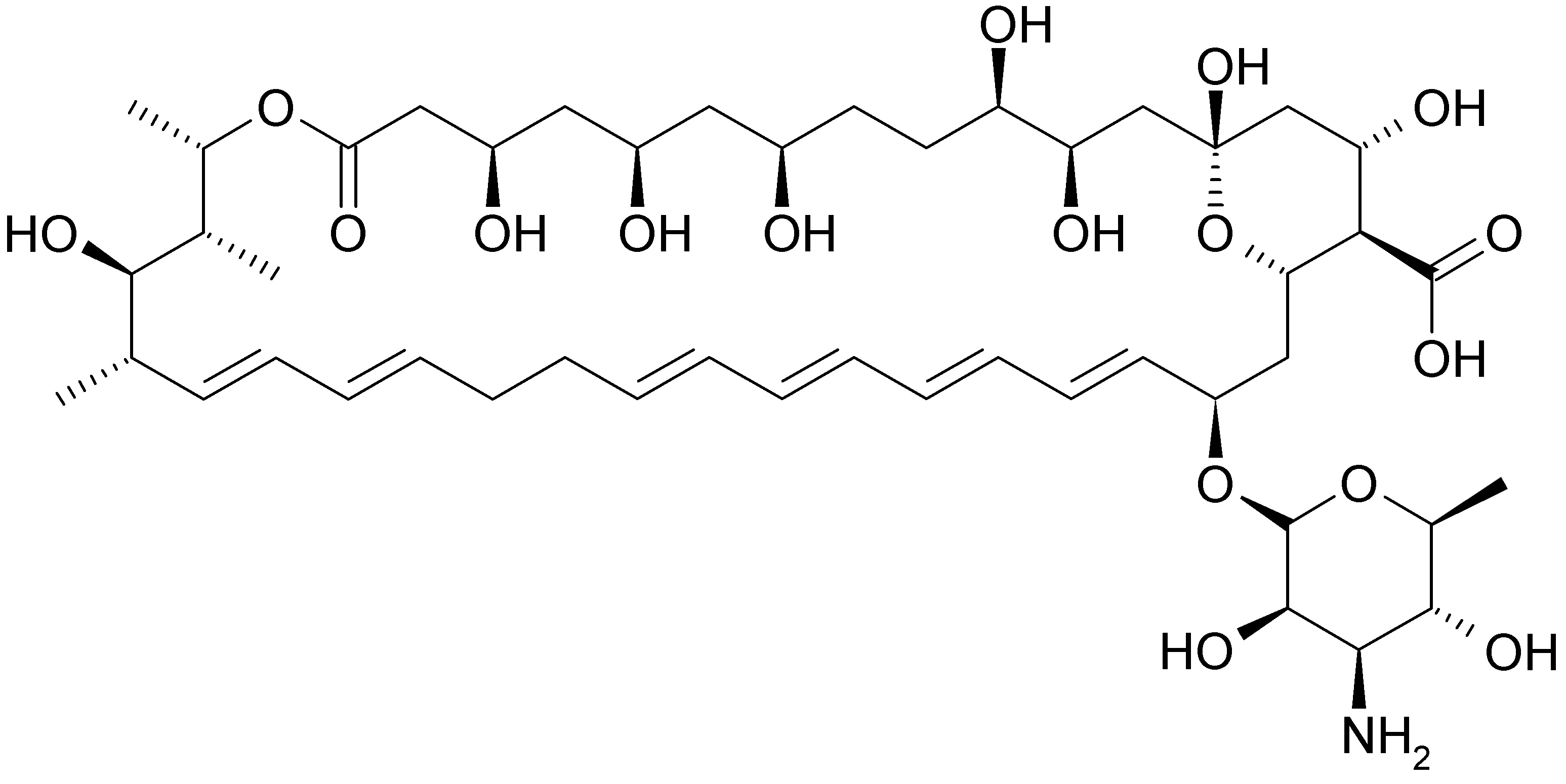
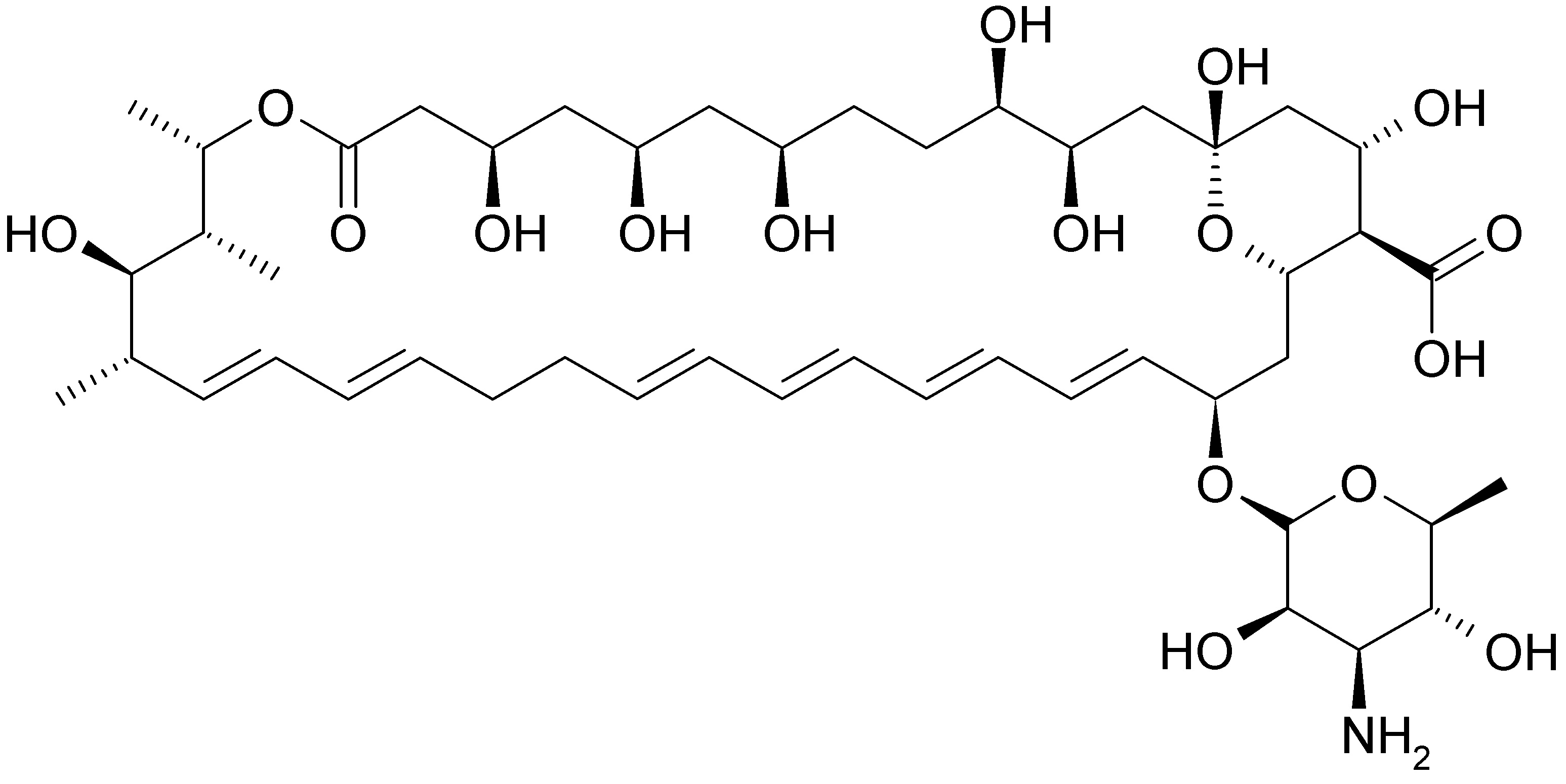
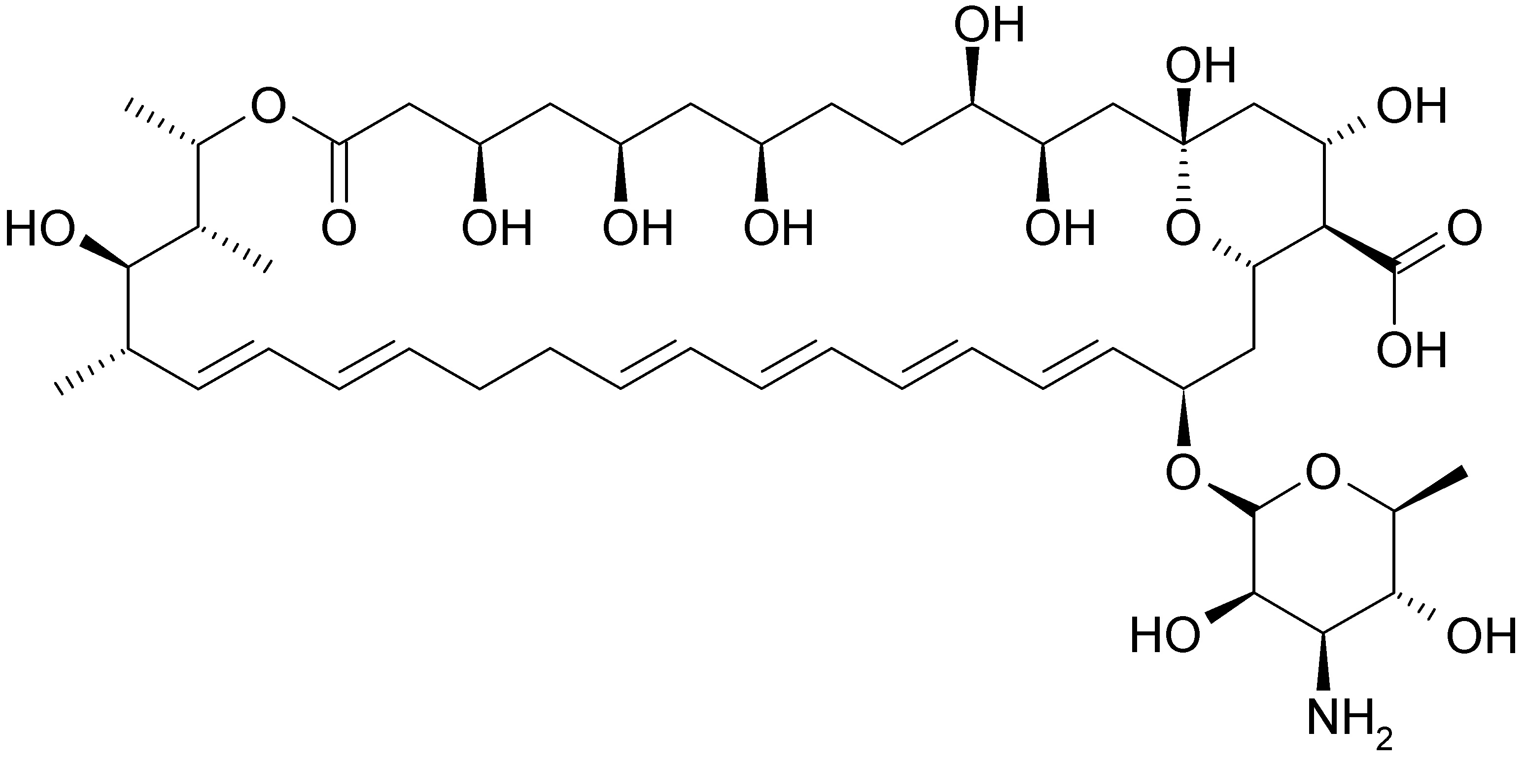
   Kjemisk struktur  

Munnvann

Faktorer som påvirker stabiliteten   Munnvann   Faktorer som påvirker stabiliteten : Nystatin        
Ingen opplysninger

  Mentions Légales