Τελευταία ενημέρωση :
27/04/2026
Αντιμυκητικό   Nystatin  
Στοματικό διάλυμα
Σταθερότητα και συμβατότητα των φαρμάκων Σταθερότητα σε μίγματα Παράγοντας που επηρεάζει τη σταθερότητα Συμβατότητες Βιβλιογραφία pdf
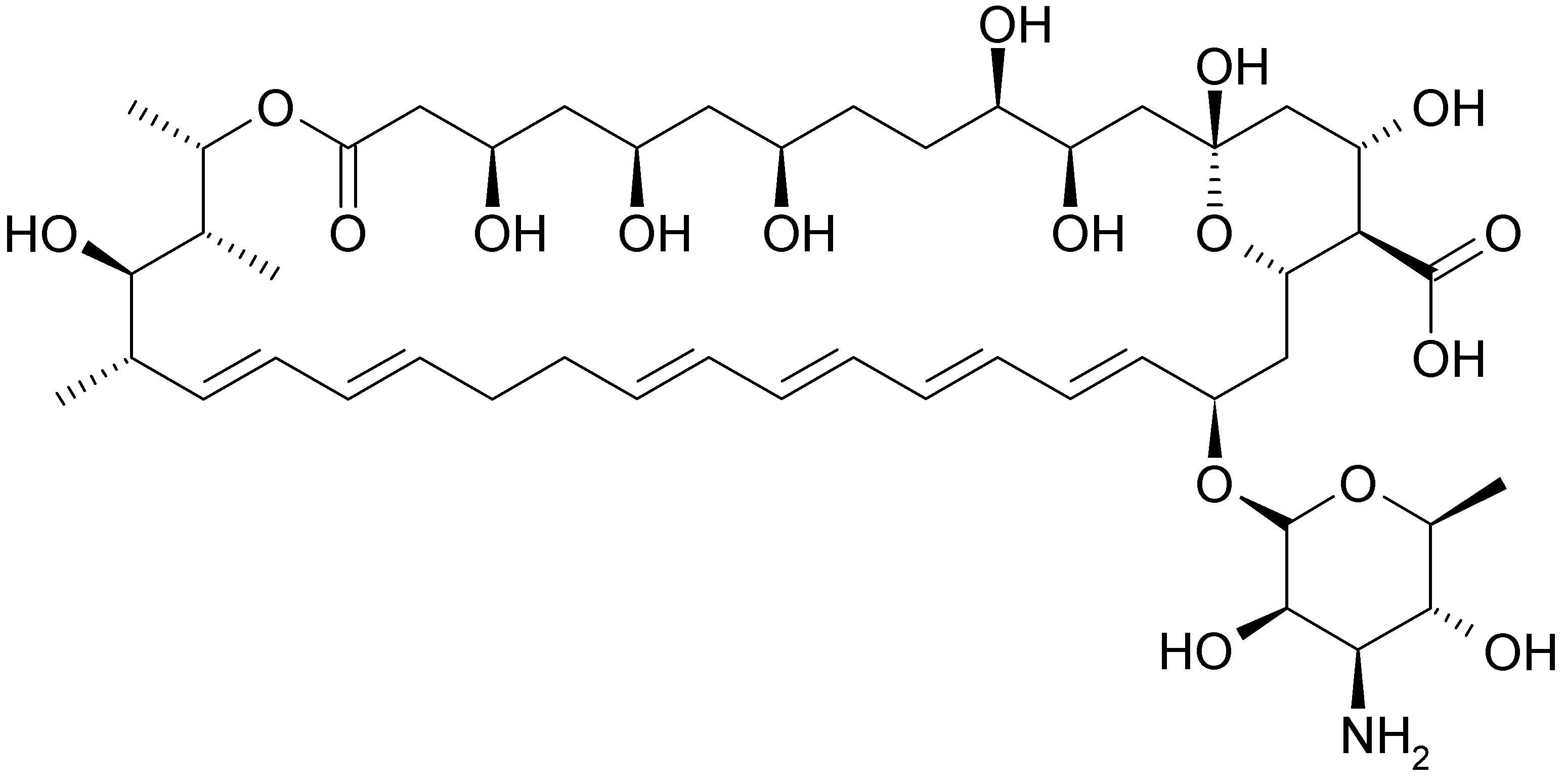
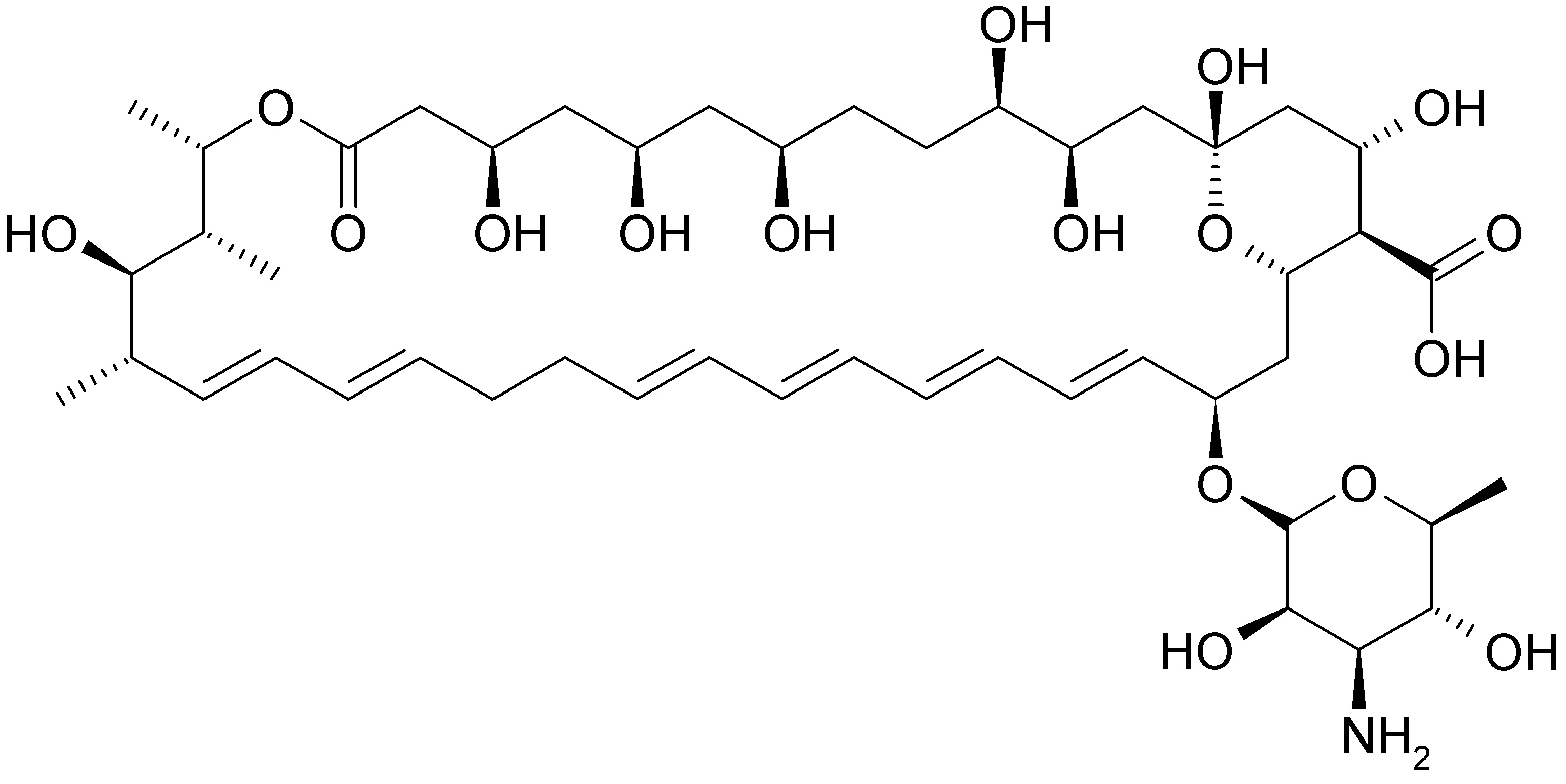
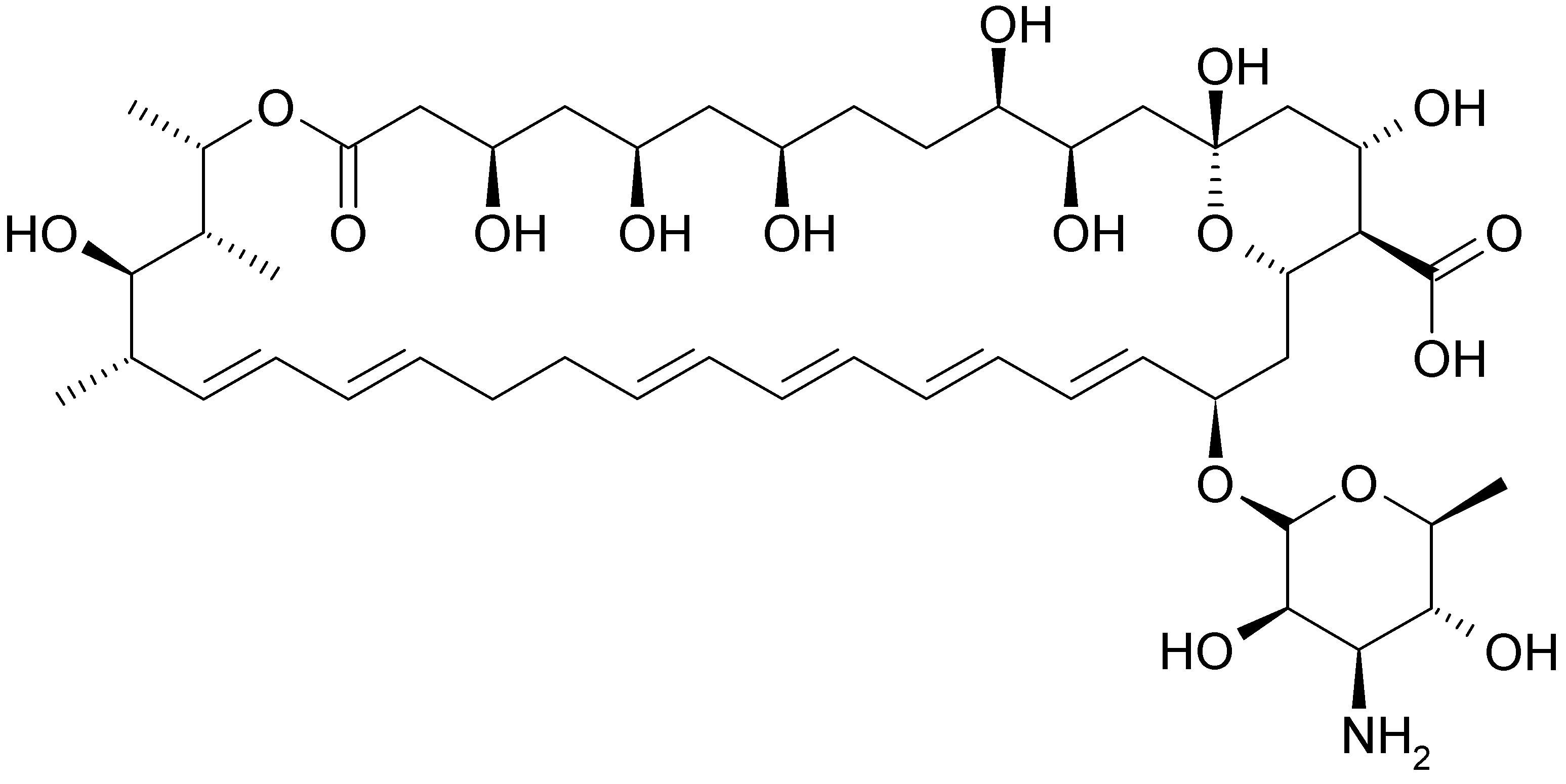
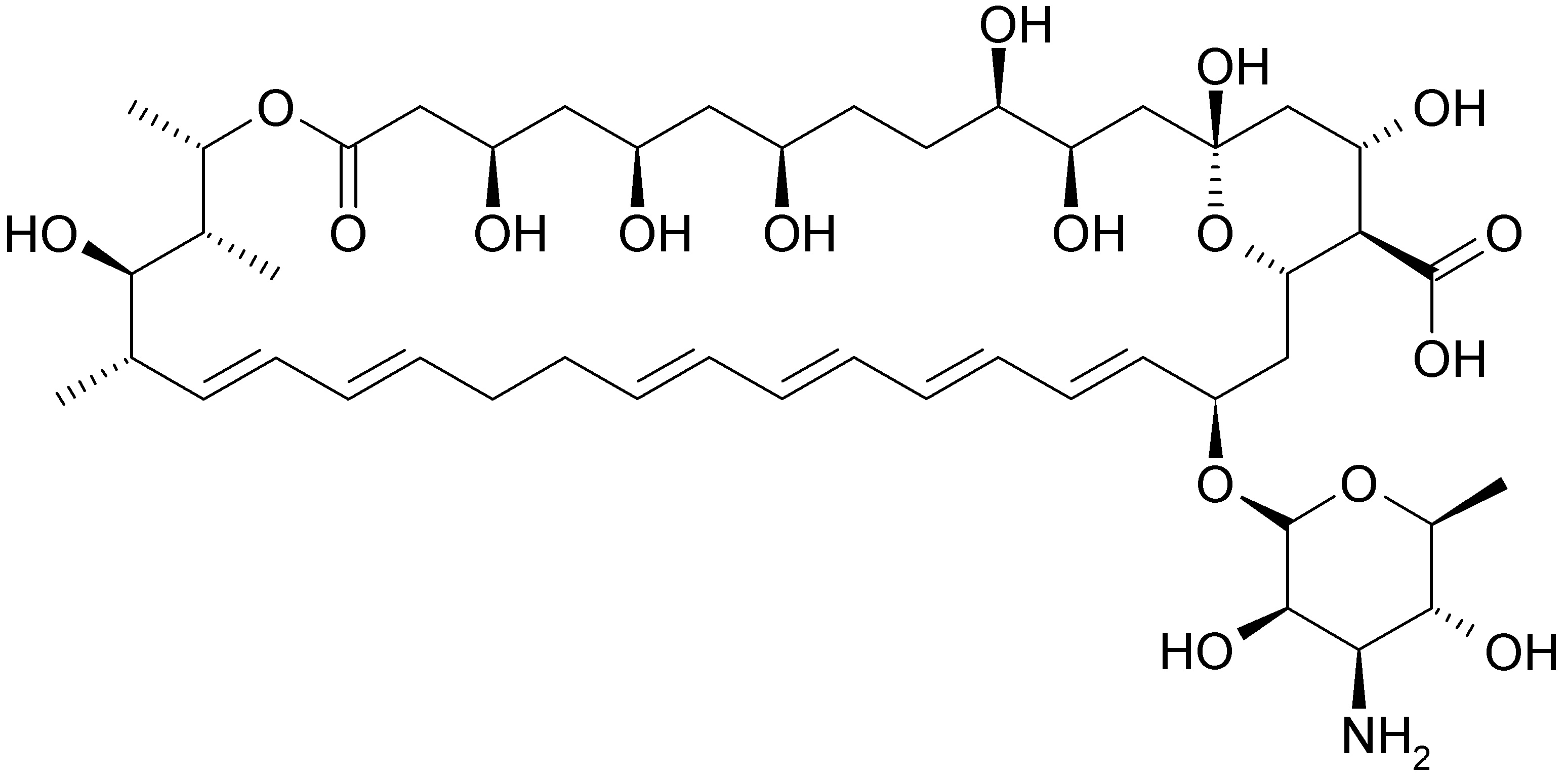
   χημική δομή  

Στοματικό διάλυμα

Παράγοντας που επηρεάζει τη σταθερότητα   Στοματικό διάλυμα   Παράγοντας που επηρεάζει τη σταθερότητα : Nystatin        
Δεν υπάρχουν πληροφορίες

  Mentions Légales