Pēdējā atjaunošana :
27/04/2026
Pretsēnīšu līdzeklis   Nystatin  
Mutes skalojamais līdzeklis
Stabilitāte farmaceitisko preparātu Maisījuma stabilitāte Stabilitāti ietekmējoši faktori Saderība Literatūras saraksts pdf
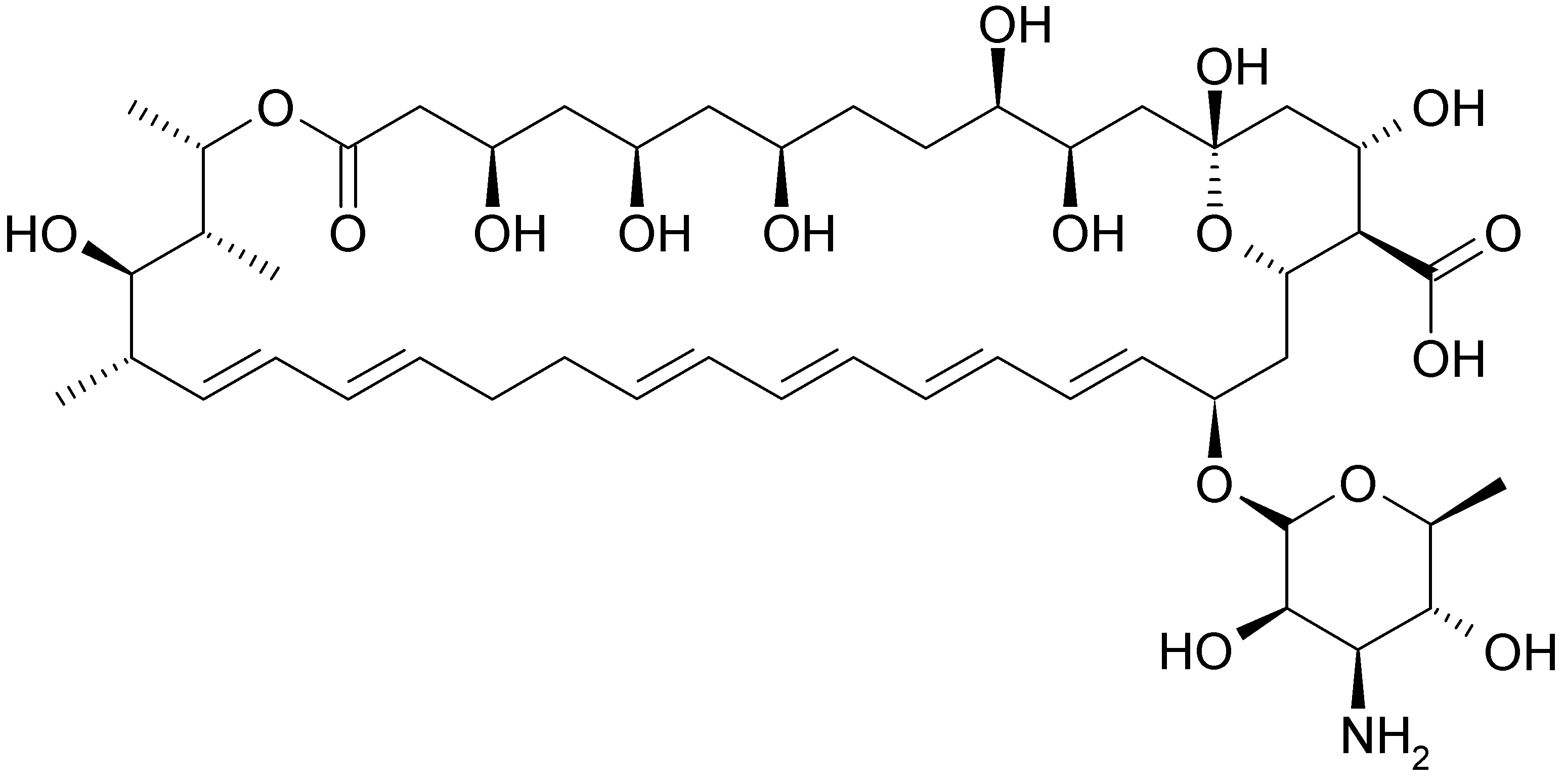
   Ķīmiskā uzbūve   

Mutes skalojamais līdzeklis

Stabilitāti ietekmējoši faktori   Mutes skalojamais līdzeklis   Stabilitāti ietekmējoši faktori : Nystatin        
Nav datu

  Mentions Légales