zadnja posodobitev :
27/04/2026
Antimikotik   Nystatin  
Ustna voda
Stabilnost farmacevtskih preparatov Stabilnost mešanice Faktorji, ki vplivajo na stabilnost Kompatibilnost Viri pdf
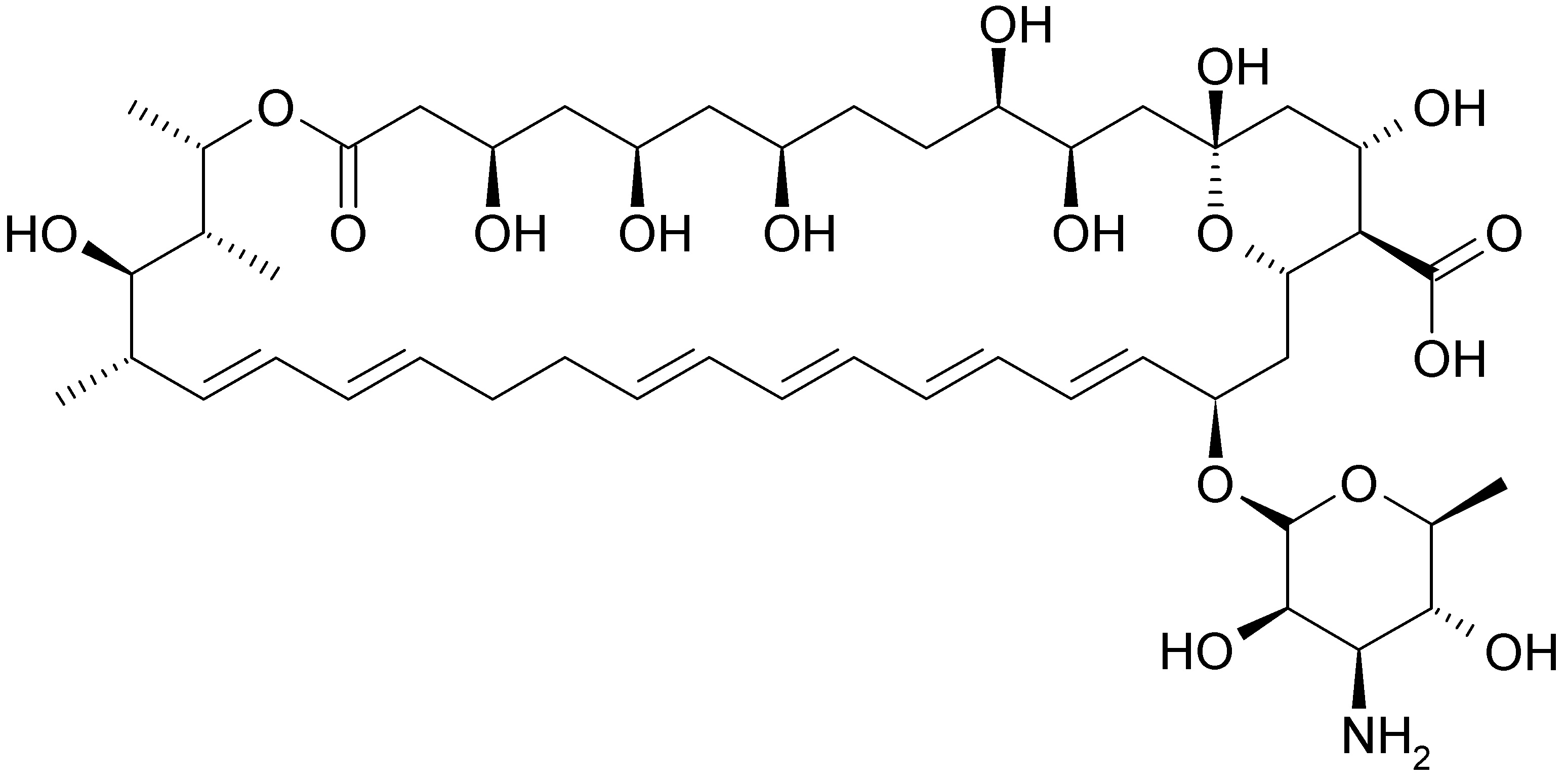
   Kemična formula  

Ustna voda

Faktorji, ki vplivajo na stabilnost   Ustna voda   Faktorji, ki vplivajo na stabilnost : Nystatin        
ni podatka

  Mentions Légales