Son güncelleme :
27/04/2026
Antifungal   Nystatin  
Gargara
Farmasötik preparatlar Kararlılığı Karışımlardaki stabilitesi Stabiliteyi etkileyen faktörler Uyumluluk Kaynaklar pdf
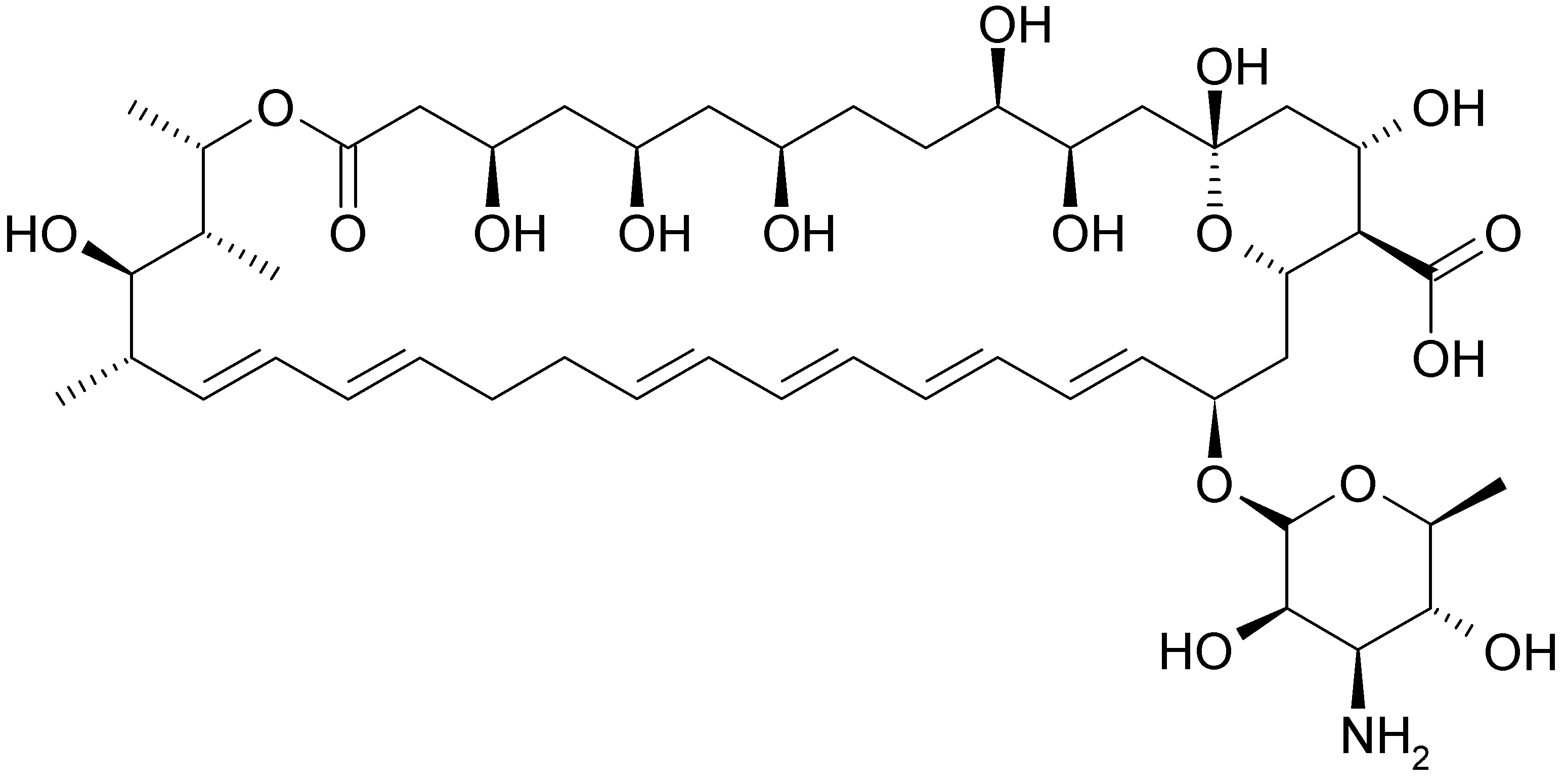
   Kimyasal yapı   

Gargara

Stabiliteyi etkileyen faktörler    Gargara   Stabiliteyi etkileyen faktörler : Nystatin        
veri yok

  Mentions Légales