Останнє оновлення :
27/11/2025
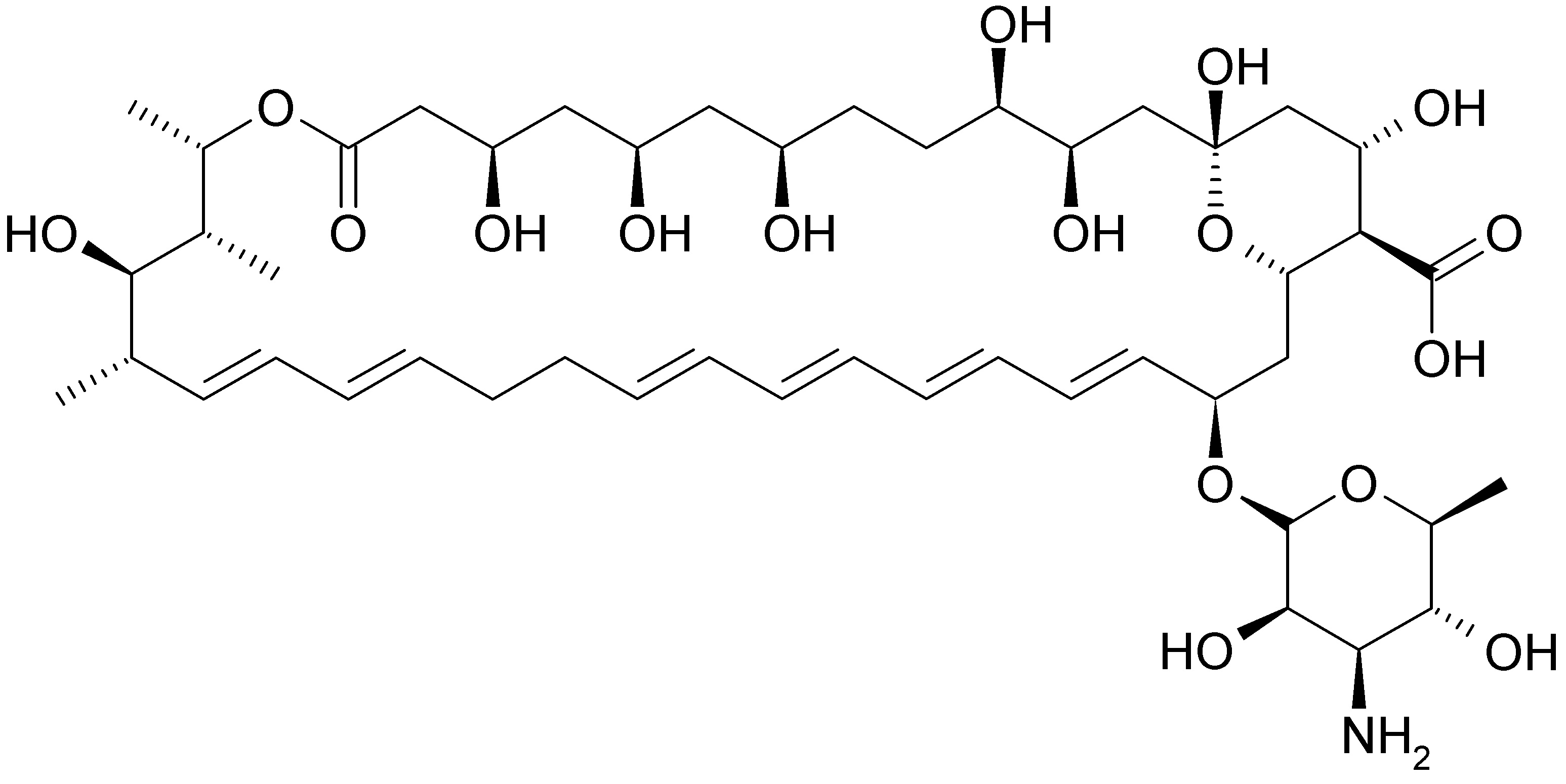
Протигрибковий   Nystatin  
Ополіскувач ротової порожнини
Стабільність фармацевтичних препаратів Стійкість сумішей Фактори, що впливають на стабільність Сумісність Список літератури pdf
   Хімічна структура  

Ополіскувач ротової порожнини
Стійкість сумішей   Ополіскувач ротової порожнини   Стійкість сумішей : Nystatin     
7 / 5 000 Résultats de traduction Немає даних

  Mentions Légales