Utolsó frissítés :
27/04/2026
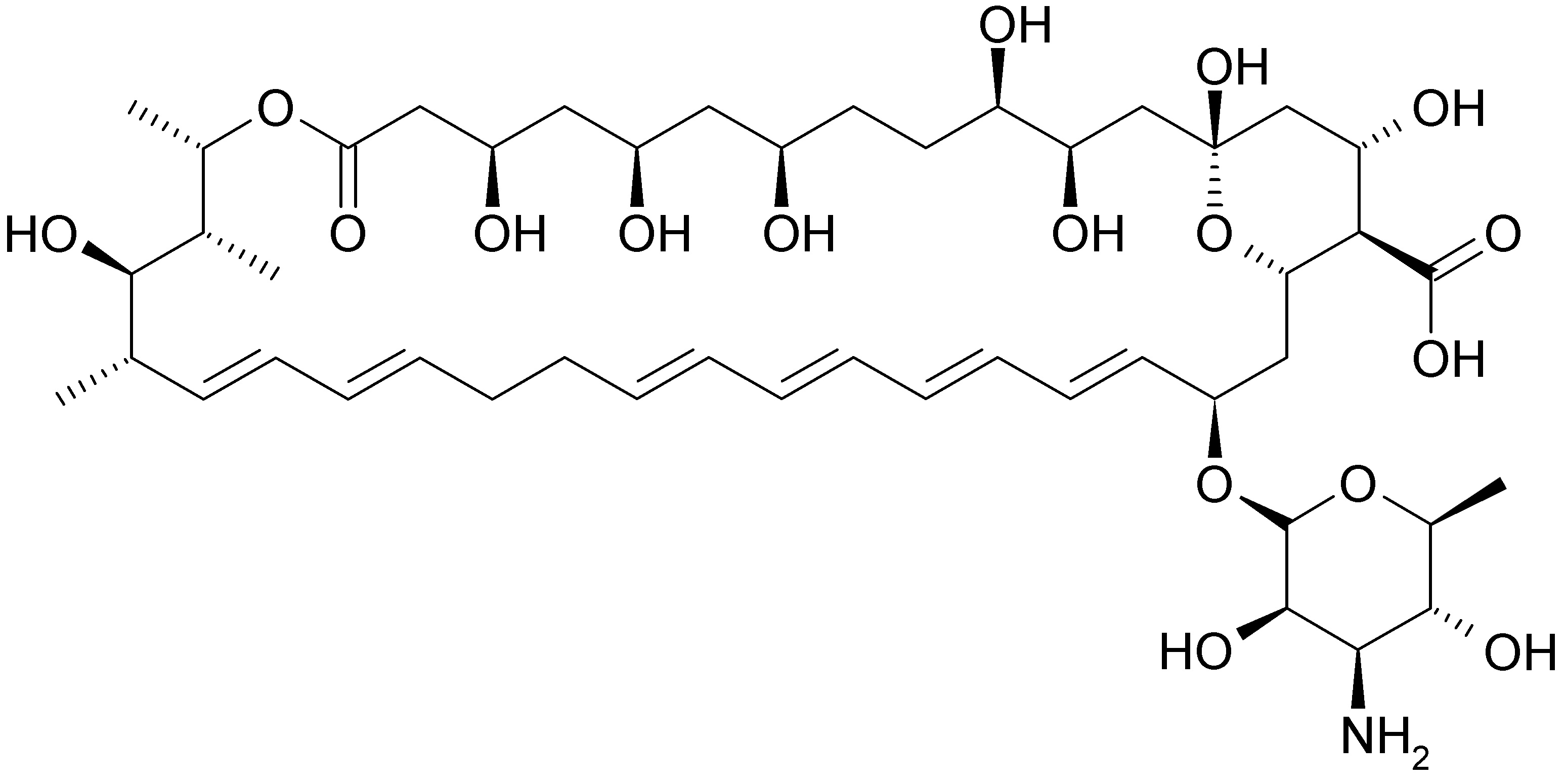
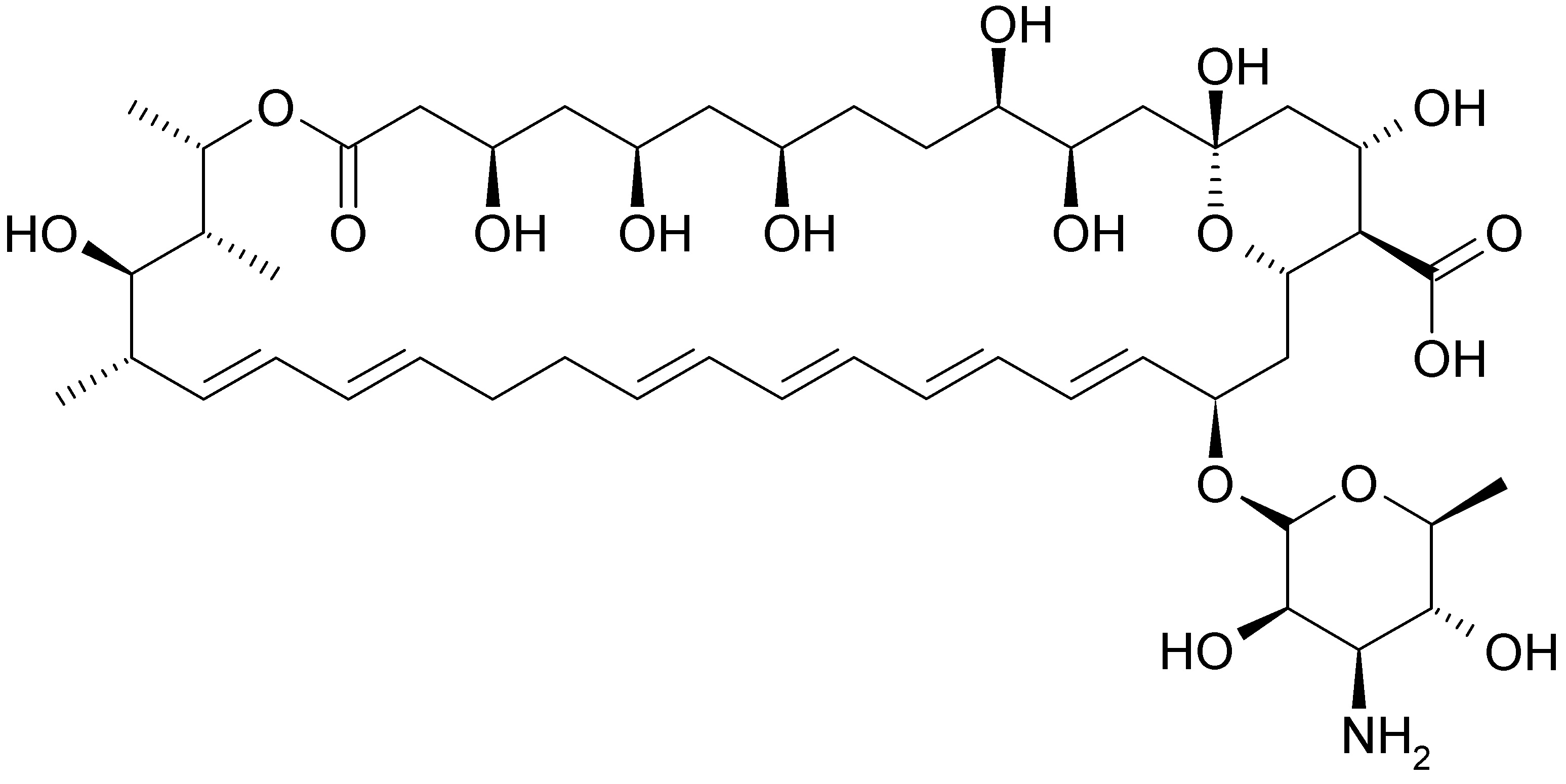
Gombaellenes szer   Nystatin  
Szájvíz
Stabilitása gyógyszerészeti készítmények A keverékek stabilitása Stabilitást befolyásoló tényezők Kompatibilitás Irodalom pdf
   Kémiai szerkezet   

Szájvíz

Stabilitást befolyásoló tényezők   Szájvíz   Stabilitást befolyásoló tényezők : Nystatin        
Hiányzó adat

  Mentions Légales