Senaste uppdateringen :
27/04/2026
cancerläkemedel   Dacarbazine  
injektion
Lösningars stabilitet Stabilitet i blandningar Faktorer som påverkar stabiliteten Kompatibilitet Administreringssätt Hänvisningar pdf
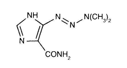
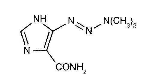
   Molekylstruktur  

Varunamn   Varunamn     

Angivna handelsnamn på läkemedel är enbart vägledande då formulering inklusive hjälpämnen kan variera mellan länder och tillverkare

Acocarb Mexiko
Celdaz Indien, Peru
Dabaz Brasilien, Indien
Dacarba Indien
Dacarbazin Malaysia, Österrike, Polen, Ungern
Dacarbazina Argentina, Brasilien, Chile, Colombia, Ecuador, Italien, Mexiko, Peru, Spanien
Dacarbazine Australien, Belgien, Danmark, Förenta Staterna, Indien, Iran, Irland, Kanada, nya Zeeland, Storbritannien, Sverige
Dacarex Indien
Dacarin Indien
Dacarpalm Peru
Dacarzine Indien
Dacin Schweiz, Slovenien
Dacmed Indien
Daracina Colombia
Deticene Frankrike, Grekland, Nederländerna, Portugal, Saudi-Arabien
Detimedac Colombia, Rumänien, Tunisien, Tyskland
DTIC Förenta Staterna, nya Zeeland, Österrike
Fauldetic Portugal
Oncocarbil Argentina, Ecuador, Peru
Tiferomed Mexiko
Kompatibilitet   injektion   Kompatibilitet : Dacarbazine              
Den här skärmen visar kompatibiliteten eller inkompatibiliteten med, i detta fall, typen av inkompatibilitet (utfällning, färgförändring, modifiering av en emulsion, etc.). De kompatibiliteter som visas här är oftast endast fysiska, varvid den kemiska stabiliteten för varje molekyl sällan utvärderas. Utvärderingen av dessa blandningar studerades för att överväga möjligheten för Y-platsadministrering till patienten. Dessa data kan inte användas för att göra blandningar i förväg i påsar eller sprutor. Denna typ av information finns på skärmen "Stabilitet i blandning".
Substans Lösningsmedel Hänvisningar
Utfällning efter 1 timme Oförenlig
injektion Dacarbazine 4 mg/ml
injektion Allopurinol sodium 3 mg/ml
Natriumklorid 0,9 % 307
Kompatibel
injektion Dacarbazine 4 mg/ml
injektion Amifostine 10 mg/ml
Glukos 5 % 3
Kompatibel
injektion Dacarbazine 4 mg/ml
injektion Aztreonam 40 mg/ml
Glukos 5 % 99
Kompatibel
injektion Dacarbazine 4 mg/ml
injektion Doxorubicin hydrochloride liposome peg 0.4 mg/ml
Glukos 5 % 251
Kompatibel
injektion Dacarbazine 4 mg/ml
injektion Etoposide phosphate 5 mg/ml
Glukos 5 % 1410
Kompatibel
injektion Dacarbazine 4 mg/ml
injektion Filgrastim 30 µg/ml
Glukos 5 % 244
Kompatibel
injektion Dacarbazine 4 mg/ml
injektion Fludarabine phosphate 1 mg/ml
Glukos 5 % 492
Kompatibel
injektion Dacarbazine 1.7 mg/ml
injektion Granisetron hydrochloride 1 mg/ml
Natriumklorid 0,9 % 57
Ospecificerad inkompatibilitet Oförenlig
injektion Dacarbazine
injektion Heparin sodium
3540
Omedelbar nederbörd Oförenlig
injektion Dacarbazine 25 mg/ml
injektion Heparin sodium 100 UI/ml
Natriumklorid 0,9 % 860
Kompatibel
injektion Dacarbazine 4 mg/ml
injektion Melphalan 0.1 mg/ml
Natriumklorid 0,9 % 169
Kompatibel
injektion Dacarbazine 3 mg/ml
injektion Ondansetron hydrochloride 0,03 mg/ml
Glukos 5 % 184
Kompatibel
injektion Dacarbazine
Glukos 5 % 3605
Ospecificerad inkompatibilitet Oförenlig
injektion Dacarbazine
injektion Heparin sodium
3267
Ospecificerad inkompatibilitet Oförenlig
injektion Dacarbazine
injektion Heparin sodium
3605
Ospecificerad inkompatibilitet Oförenlig
injektion Dacarbazine
injektion Hydrocortisone sodium succinate
3267
Ospecificerad inkompatibilitet Oförenlig
injektion Dacarbazine
injektion Hydrocortisone sodium succinate
3605
Kompatibel
injektion Dacarbazine 1 mg/ml
injektion Ondansetron hydrochloride 0,03 mg/ml
Glukos 5 % 184
Kompatibel
injektion Dacarbazine 3 mg/ml
injektion Ondansetron hydrochloride 0,3 mg/ml
Glukos 5 % 184
Kompatibel
injektion Dacarbazine 1 mg/ml
injektion Ondansetron hydrochloride 0,3 mg/ml
Glukos 5 % 184
Omedelbar nederbörd Oförenlig
injektion Dacarbazine 4 mg/ml
injektion Piperacillin sodium / tazobactam 40/5 mg/ml
Glukos 5 % 81
Kompatibel
injektion Dacarbazine
Natriumklorid 0,9 % 3605
Kompatibel
injektion Dacarbazine 4 mg/ml
injektion Ondansetron hydrochloride 1 mg/ml
Natriumklorid 0,9 % 334
Kompatibel
injektion Dacarbazine 4 mg/ml
injektion Paclitaxel 1.2 mg/ml
Glukos 5 % 248
Kompatibel
injektion Dacarbazine 4 mg/ml
injektion Palonosetron hydrochloride 50 µg/ml
Glukos 5 % 2107
Kompatibel
injektion Dacarbazine 4 mg/ml
injektion Sargramostim 10 µg/ml
Natriumklorid 0,9 % 335
Ospecificerad inkompatibilitet Oförenlig
injektion Dacarbazine
injektion Sodium bicarbonate
3605
Ospecificerad inkompatibilitet Oförenlig
injektion Dacarbazine
injektion Sodium bicarbonate
3267
Kompatibel
injektion Dacarbazine 4 mg/ml
injektion Teniposide 0.1 mg/ml
Glukos 5 % 905
Kompatibel
injektion Dacarbazine 4 mg/ml
injektion Thiotepa 1 mg/ml
Glukos 5 % 249
Kompatibel
injektion Dacarbazine 4 mg/ml
injektion Vinorelbine tartrate 1 mg/ml
Natriumklorid 0,9 % 84
Ospecificerad inkompatibilitet Oförenlig
injektion Dacarbazine
NaHCO3 3605

  Mentions Légales