最新更新 :
27/04/2026
細胞増殖抑制薬   Dacarbazine  
注射薬
溶媒内の安定性 混合時の安定性 安定性に影響する因子 互換性 投与経路 引用文献 PDF
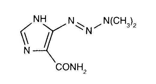
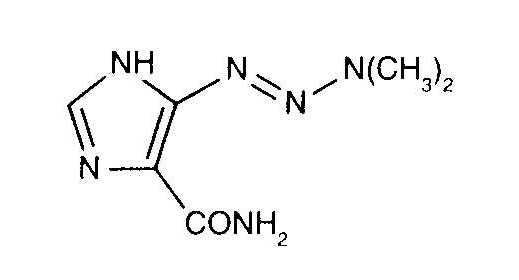
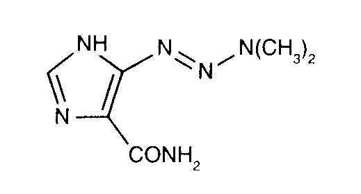
   化学構造  

商品名   商品名     

商品名、賦形剤は国、製薬会社ごとに異なることがあります

Acocarb メキシコ
Celdaz インド, ペルー
Dabaz インド, ブラジル
Dacarba インド
Dacarbazin オーストリア, ハンガリー, ポーランド, マレーシア
Dacarbazina アルゼンチン, イタリア, エクアドル, コロンビア, スペイン, チリ, ブラジル, ペルー, メキシコ
Dacarbazine アイルランド, アメリカ, アーストラリア, イギリス, イラン, インド, カナダ, スウェーデン, デンマーク, ニュージーランド, ベルギー
Dacarex インド
Dacarin インド
Dacarpalm ペルー
Dacarzine インド
Dacin スイス, スロベニア
Dacmed インド
Daracina コロンビア
Deticene オランダ, ギリシア, サウジアラビア, フランス, ポルトガル
Detimedac コロンビア, チュニジア, ドイツ, ルーマニア
DTIC アメリカ, オーストリア, ニュージーランド
Fauldetic ポルトガル
Oncocarbil アルゼンチン, エクアドル, ペルー
Tiferomed メキシコ
互換性   注射薬   互換性 : Dacarbazine              
This screen indicates the compatibilities or incompatibilities with, in this case, the type of incompatibility (precipitation, color change, modification of an emulsion, etc.). The compatibilities shown here are mostly physical only, with the chemical stability of each molecule rarely being assessed. The evaluation of these mixtures was studied to consider the possibility of Y-site administration to the patient. These data cannot be used for making mixtures in advance in bags or syringes. This type of information is available in the screen "Stability in mixture ».
化合物 溶媒 引用文献
1時間後の降水 非互換
注射薬 Dacarbazine 4 mg/ml
注射薬 Allopurinol sodium 3 mg/ml
NaCl 0,9% 307
対応
注射薬 Dacarbazine 4 mg/ml
注射薬 Amifostine 10 mg/ml
グルコース5% 3
対応
注射薬 Dacarbazine 4 mg/ml
注射薬 Aztreonam 40 mg/ml
グルコース5% 99
対応
注射薬 Dacarbazine 4 mg/ml
注射薬 Doxorubicin hydrochloride liposome peg 0.4 mg/ml
グルコース5% 251
対応
注射薬 Dacarbazine 4 mg/ml
注射薬 Etoposide phosphate 5 mg/ml
グルコース5% 1410
対応
注射薬 Dacarbazine 4 mg/ml
注射薬 Filgrastim 30 µg/ml
グルコース5% 244
対応
注射薬 Dacarbazine 4 mg/ml
注射薬 Fludarabine phosphate 1 mg/ml
グルコース5% 492
対応
注射薬 Dacarbazine 1.7 mg/ml
注射薬 Granisetron hydrochloride 1 mg/ml
NaCl 0,9% 57
不特定の非互換性 非互換
注射薬 Dacarbazine
注射薬 Heparin sodium
3540
即時降水 非互換
注射薬 Dacarbazine 25 mg/ml
注射薬 Heparin sodium 100 UI/ml
NaCl 0,9% 860
対応
注射薬 Dacarbazine 4 mg/ml
注射薬 Melphalan 0.1 mg/ml
NaCl 0,9% 169
対応
注射薬 Dacarbazine 3 mg/ml
注射薬 Ondansetron hydrochloride 0,03 mg/ml
グルコース5% 184
対応
注射薬 Dacarbazine
グルコース5% 3605
不特定の非互換性 非互換
注射薬 Dacarbazine
注射薬 Heparin sodium
3267
不特定の非互換性 非互換
注射薬 Dacarbazine
注射薬 Heparin sodium
3605
不特定の非互換性 非互換
注射薬 Dacarbazine
注射薬 Hydrocortisone sodium succinate
3267
不特定の非互換性 非互換
注射薬 Dacarbazine
注射薬 Hydrocortisone sodium succinate
3605
対応
注射薬 Dacarbazine 1 mg/ml
注射薬 Ondansetron hydrochloride 0,03 mg/ml
グルコース5% 184
対応
注射薬 Dacarbazine 3 mg/ml
注射薬 Ondansetron hydrochloride 0,3 mg/ml
グルコース5% 184
対応
注射薬 Dacarbazine 1 mg/ml
注射薬 Ondansetron hydrochloride 0,3 mg/ml
グルコース5% 184
即時降水 非互換
注射薬 Dacarbazine 4 mg/ml
注射薬 Piperacillin sodium / tazobactam 40/5 mg/ml
グルコース5% 81
対応
注射薬 Dacarbazine
NaCl 0,9% 3605
対応
注射薬 Dacarbazine 4 mg/ml
注射薬 Ondansetron hydrochloride 1 mg/ml
NaCl 0,9% 334
対応
注射薬 Dacarbazine 4 mg/ml
注射薬 Paclitaxel 1.2 mg/ml
グルコース5% 248
対応
注射薬 Dacarbazine 4 mg/ml
注射薬 Palonosetron hydrochloride 50 µg/ml
グルコース5% 2107
対応
注射薬 Dacarbazine 4 mg/ml
注射薬 Sargramostim 10 µg/ml
NaCl 0,9% 335
不特定の非互換性 非互換
注射薬 Dacarbazine
注射薬 Sodium bicarbonate
3605
不特定の非互換性 非互換
注射薬 Dacarbazine
注射薬 Sodium bicarbonate
3267
対応
注射薬 Dacarbazine 4 mg/ml
注射薬 Teniposide 0.1 mg/ml
グルコース5% 905
対応
注射薬 Dacarbazine 4 mg/ml
注射薬 Thiotepa 1 mg/ml
グルコース5% 249
対応
注射薬 Dacarbazine 4 mg/ml
注射薬 Vinorelbine tartrate 1 mg/ml
NaCl 0,9% 84
不特定の非互換性 非互換
注射薬 Dacarbazine
NaHCO3 3605

  Mentions Légales