最新更新 :
27/04/2026
抗癌藥物   Dacarbazine  
注射液
溶液稳定性 混合物稳定性 影响稳定性的因素 兼容性 用药途径 引用文献 PDF
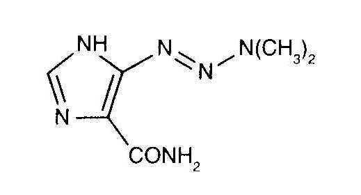
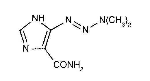
   化学式  

商品名   商品名     

商品名仅供参考, 药品所用的辅料可能依国家或厂商不同有所不同。

Acocarb 墨西哥
Celdaz 印度, 秘鲁
Dabaz 印度, 巴西
Dacarba 印度
Dacarbazin 匈牙利, 奥地利, 波兰, 马来西亚
Dacarbazina 厄瓜多尔, 哥伦比亚, 墨西哥, 巴西, 意大利, 智利, 秘鲁, 西班牙, 阿根廷
Dacarbazine 丹麦, 伊朗, 加拿大, 印度, 新西蘭, 比利时, 澳大利亚, 爱尔兰, 瑞典, 美国, 英国
Dacarex 印度
Dacarin 印度
Dacarpalm 秘鲁
Dacarzine 印度
Dacin 斯洛文尼亚, 瑞士
Dacmed 印度
Daracina 哥伦比亚
Deticene 希腊, 沙特阿拉伯, 法国, 荷兰, 葡萄牙
Detimedac 哥伦比亚, 德国, 突尼斯, 罗马尼亚
DTIC 奥地利, 新西蘭, 美国
Fauldetic 葡萄牙
Oncocarbil 厄瓜多尔, 秘鲁, 阿根廷
Tiferomed 墨西哥
兼容性   注射液   兼容性 : Dacarbazine              
This screen indicates the compatibilities or incompatibilities with, in this case, the type of incompatibility (precipitation, color change, modification of an emulsion, etc.). The compatibilities shown here are mostly physical only, with the chemical stability of each molecule rarely being assessed. The evaluation of these mixtures was studied to consider the possibility of Y-site administration to the patient. These data cannot be used for making mixtures in advance in bags or syringes. This type of information is available in the screen "Stability in mixture ».
分子 溶剂 引用文献
1小時後析出 不相容
注射液 Dacarbazine 4 mg/ml
注射液 Allopurinol sodium 3 mg/ml
NaCl 0,9% 307
兼容
注射液 Dacarbazine 4 mg/ml
注射液 Amifostine 10 mg/ml
葡萄糖5% 3
兼容
注射液 Dacarbazine 4 mg/ml
注射液 Aztreonam 40 mg/ml
葡萄糖5% 99
兼容
注射液 Dacarbazine 4 mg/ml
注射液 Doxorubicin hydrochloride liposome peg 0.4 mg/ml
葡萄糖5% 251
兼容
注射液 Dacarbazine 4 mg/ml
注射液 Etoposide phosphate 5 mg/ml
葡萄糖5% 1410
兼容
注射液 Dacarbazine 4 mg/ml
注射液 Filgrastim 30 µg/ml
葡萄糖5% 244
兼容
注射液 Dacarbazine 4 mg/ml
注射液 Fludarabine phosphate 1 mg/ml
葡萄糖5% 492
兼容
注射液 Dacarbazine 1.7 mg/ml
注射液 Granisetron hydrochloride 1 mg/ml
NaCl 0,9% 57
未指定的不兼容性 不相容
注射液 Dacarbazine
注射液 Heparin sodium
3540
立即沉澱 不相容
注射液 Dacarbazine 25 mg/ml
注射液 Heparin sodium 100 UI/ml
NaCl 0,9% 860
兼容
注射液 Dacarbazine 4 mg/ml
注射液 Melphalan 0.1 mg/ml
NaCl 0,9% 169
兼容
注射液 Dacarbazine 3 mg/ml
注射液 Ondansetron hydrochloride 0,03 mg/ml
葡萄糖5% 184
兼容
注射液 Dacarbazine
葡萄糖5% 3605
未指定的不兼容性 不相容
注射液 Dacarbazine
注射液 Heparin sodium
3267
未指定的不兼容性 不相容
注射液 Dacarbazine
注射液 Heparin sodium
3605
未指定的不兼容性 不相容
注射液 Dacarbazine
注射液 Hydrocortisone sodium succinate
3267
未指定的不兼容性 不相容
注射液 Dacarbazine
注射液 Hydrocortisone sodium succinate
3605
兼容
注射液 Dacarbazine 1 mg/ml
注射液 Ondansetron hydrochloride 0,03 mg/ml
葡萄糖5% 184
兼容
注射液 Dacarbazine 3 mg/ml
注射液 Ondansetron hydrochloride 0,3 mg/ml
葡萄糖5% 184
兼容
注射液 Dacarbazine 1 mg/ml
注射液 Ondansetron hydrochloride 0,3 mg/ml
葡萄糖5% 184
立即沉澱 不相容
注射液 Dacarbazine 4 mg/ml
注射液 Piperacillin sodium / tazobactam 40/5 mg/ml
葡萄糖5% 81
兼容
注射液 Dacarbazine
NaCl 0,9% 3605
兼容
注射液 Dacarbazine 4 mg/ml
注射液 Ondansetron hydrochloride 1 mg/ml
NaCl 0,9% 334
兼容
注射液 Dacarbazine 4 mg/ml
注射液 Paclitaxel 1.2 mg/ml
葡萄糖5% 248
兼容
注射液 Dacarbazine 4 mg/ml
注射液 Palonosetron hydrochloride 50 µg/ml
葡萄糖5% 2107
兼容
注射液 Dacarbazine 4 mg/ml
注射液 Sargramostim 10 µg/ml
NaCl 0,9% 335
未指定的不兼容性 不相容
注射液 Dacarbazine
注射液 Sodium bicarbonate
3605
未指定的不兼容性 不相容
注射液 Dacarbazine
注射液 Sodium bicarbonate
3267
兼容
注射液 Dacarbazine 4 mg/ml
注射液 Teniposide 0.1 mg/ml
葡萄糖5% 905
兼容
注射液 Dacarbazine 4 mg/ml
注射液 Thiotepa 1 mg/ml
葡萄糖5% 249
兼容
注射液 Dacarbazine 4 mg/ml
注射液 Vinorelbine tartrate 1 mg/ml
NaCl 0,9% 84
未指定的不兼容性 不相容
注射液 Dacarbazine
NaHCO3 3605

  Mentions Légales