Последнее обновление :
27/04/2026
Цитостатическое средство   Dacarbazine  
Инъекция
Стабильность растворов Стабильность смесей Факторы, которые влияют на стабильность Совместимость Способы введения Библиография pdf
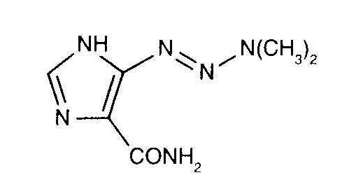
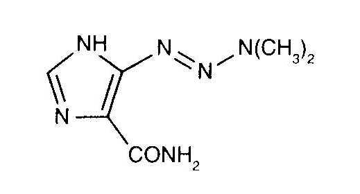
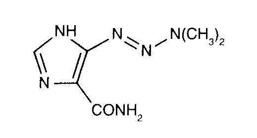
   Химическая структура  

Товарное название   Товарное название     

Trade names are indicative and excipients composition can be different depending on the country and manufacturers

Acocarb Мексика
Celdaz Индия, Перу
Dabaz Бразилия, Индия
Dacarba Индия
Dacarbazin Австрия, Венгрия, Малайзия, Польша
Dacarbazina Аргентина, Бразилия, Испания, Италия, Колумбия, Мексика, Перу, чили, Эквадор
Dacarbazine Австралия, Бельгия, Великобритания, Дания, Индия, Иран, Ирландия, Канада, новая Зеландия, Соединённые Штаты Америки, Швеция
Dacarex Индия
Dacarin Индия
Dacarpalm Перу
Dacarzine Индия
Dacin Словения, Швейцария
Dacmed Индия
Daracina Колумбия
Deticene Голландия, Греция, Португалия, Саудовская Аравия, Франция
Detimedac Германия, Колумбия, Румыния, Тунис
DTIC Австрия, новая Зеландия, Соединённые Штаты Америки
Fauldetic Португалия
Oncocarbil Аргентина, Перу, Эквадор
Tiferomed Мексика
Совместимость   Инъекция   Совместимость : Dacarbazine              
Эта таблица показывает совместимость или несовместимость препаратов, по возможности тип несовместимости (преципитат, смена цвета, разложение эмульсии и др.). Показанные здесь совместимости в основном физические, по возможности указана и химическая стабильность каждой молекулы. Анализ этих смесей произведён для исследования возможности ввести препараты пациенту в Y-соединении систем. Эти данные нельзя использовать, чтобы приготовить лекарства на будущее в мешках или шприцах. Эта информация доступна в разделе "Стабильность смесей".
Молекула Растворитель Ссылки
Осадки через 1 час несовместимый
Инъекция Dacarbazine 4 mg/ml
Инъекция Allopurinol sodium 3 mg/ml
Натрия хлорид 0,9% 307
совместимый
Инъекция Dacarbazine 4 mg/ml
Инъекция Amifostine 10 mg/ml
Глюкоза 5% 3
совместимый
Инъекция Dacarbazine 4 mg/ml
Инъекция Aztreonam 40 mg/ml
Глюкоза 5% 99
совместимый
Инъекция Dacarbazine 4 mg/ml
Инъекция Doxorubicin hydrochloride liposome peg 0.4 mg/ml
Глюкоза 5% 251
совместимый
Инъекция Dacarbazine 4 mg/ml
Инъекция Etoposide phosphate 5 mg/ml
Глюкоза 5% 1410
совместимый
Инъекция Dacarbazine 4 mg/ml
Инъекция Filgrastim 30 µg/ml
Глюкоза 5% 244
совместимый
Инъекция Dacarbazine 4 mg/ml
Инъекция Fludarabine phosphate 1 mg/ml
Глюкоза 5% 492
совместимый
Инъекция Dacarbazine 1.7 mg/ml
Инъекция Granisetron hydrochloride 1 mg/ml
Натрия хлорид 0,9% 57
Неопределенная несовместимость несовместимый
Инъекция Dacarbazine
Инъекция Heparin sodium
3540
Немедленные осадки несовместимый
Инъекция Dacarbazine 25 mg/ml
Инъекция Heparin sodium 100 UI/ml
Натрия хлорид 0,9% 860
совместимый
Инъекция Dacarbazine 4 mg/ml
Инъекция Melphalan 0.1 mg/ml
Натрия хлорид 0,9% 169
совместимый
Инъекция Dacarbazine 3 mg/ml
Инъекция Ondansetron hydrochloride 0,03 mg/ml
Глюкоза 5% 184
совместимый
Инъекция Dacarbazine
Глюкоза 5% 3605
Неопределенная несовместимость несовместимый
Инъекция Dacarbazine
Инъекция Heparin sodium
3267
Неопределенная несовместимость несовместимый
Инъекция Dacarbazine
Инъекция Heparin sodium
3605
Неопределенная несовместимость несовместимый
Инъекция Dacarbazine
Инъекция Hydrocortisone sodium succinate
3267
Неопределенная несовместимость несовместимый
Инъекция Dacarbazine
Инъекция Hydrocortisone sodium succinate
3605
совместимый
Инъекция Dacarbazine 1 mg/ml
Инъекция Ondansetron hydrochloride 0,03 mg/ml
Глюкоза 5% 184
совместимый
Инъекция Dacarbazine 3 mg/ml
Инъекция Ondansetron hydrochloride 0,3 mg/ml
Глюкоза 5% 184
совместимый
Инъекция Dacarbazine 1 mg/ml
Инъекция Ondansetron hydrochloride 0,3 mg/ml
Глюкоза 5% 184
Немедленные осадки несовместимый
Инъекция Dacarbazine 4 mg/ml
Инъекция Piperacillin sodium / tazobactam 40/5 mg/ml
Глюкоза 5% 81
совместимый
Инъекция Dacarbazine
Натрия хлорид 0,9% 3605
совместимый
Инъекция Dacarbazine 4 mg/ml
Инъекция Ondansetron hydrochloride 1 mg/ml
Натрия хлорид 0,9% 334
совместимый
Инъекция Dacarbazine 4 mg/ml
Инъекция Paclitaxel 1.2 mg/ml
Глюкоза 5% 248
совместимый
Инъекция Dacarbazine 4 mg/ml
Инъекция Palonosetron hydrochloride 50 µg/ml
Глюкоза 5% 2107
совместимый
Инъекция Dacarbazine 4 mg/ml
Инъекция Sargramostim 10 µg/ml
Натрия хлорид 0,9% 335
Неопределенная несовместимость несовместимый
Инъекция Dacarbazine
Инъекция Sodium bicarbonate
3605
Неопределенная несовместимость несовместимый
Инъекция Dacarbazine
Инъекция Sodium bicarbonate
3267
совместимый
Инъекция Dacarbazine 4 mg/ml
Инъекция Teniposide 0.1 mg/ml
Глюкоза 5% 905
совместимый
Инъекция Dacarbazine 4 mg/ml
Инъекция Thiotepa 1 mg/ml
Глюкоза 5% 249
совместимый
Инъекция Dacarbazine 4 mg/ml
Инъекция Vinorelbine tartrate 1 mg/ml
Натрия хлорид 0,9% 84
Неопределенная несовместимость несовместимый
Инъекция Dacarbazine
NaHCO3 3605

  Mentions Légales