Viimeisin päivitys :
27/04/2026
syöpälääke   Dacarbazine  
Injektioneste
Stabilius liuoksessa Stabilius seoksissa Tekijät, jotka vaikuttavat stabiliuteen Yhteensopivuus Antotapa Viitteet pdf
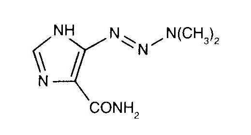
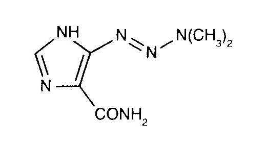
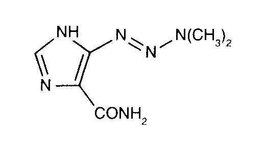
   Kemiallinen rakenne  

Kauppanimi   Kauppanimi     

Trade names are indicative and excipients composition can be different depending on the country and manufacturers

Acocarb Meksiko
Celdaz Intia, Marokko
Dabaz Brasilia, Intia
Dacarba Intia
Dacarbazin Itävalta, Malesia, Puola, Unkari
Dacarbazina Argentiina, Brasilia, Chile, Ecuador, Espanja, Italia, Kolumbia, Marokko, Meksiko
Dacarbazine Australia, Belgia, Intia, Iran, Irlanti, Iso-Britannia, Kanada, New Zealand, Ruotsi, Tanska, Yhdysvallat
Dacarex Intia
Dacarin Intia
Dacarpalm Marokko
Dacarzine Intia
Dacin Slovenia, Sveitsi
Dacmed Intia
Daracina Kolumbia
Deticene Hollanti, Kreikka, Portugali, Ranska, Saudi-Arabia
Detimedac Kolumbia, Romania, Saksa, Tunisia
DTIC Itävalta, New Zealand, Yhdysvallat
Fauldetic Portugali
Oncocarbil Argentiina, Ecuador, Marokko
Tiferomed Meksiko
Yhteensopivuus   Injektioneste   Yhteensopivuus : Dacarbazine              
Tämä näyttö osoittaa yhteensopivuuden tai yhteensopimattomuuden yhteensopimattomuuden tyypin kanssa (saostuminen, värinmuutos, emulsiomuutos jne.). Tässä esitetty yhteensopivuus on useimmissa tapauksissa vain fysikaalinen, ja kunkin molekyylin kemiallista stabiilisuutta arvioidaan harvoin. Näiden seosten arviointia tutkittiin mahdollisuuden antaa Y-kohta potilaalle. Näitä tietoja ei voida käyttää seosten valmistamiseen etukäteen pusseissa tai ruiskuissa. Tämäntyyppiset tiedot ovat saatavilla "Stabiilisuus seoksessa" -näytössä.
Yhdiste Liuotin Viitteet
Sade 1 tunnin kuluttua yhteensopimaton
Injektioneste Dacarbazine 4 mg/ml
Injektioneste Allopurinol sodium 3 mg/ml
Natriumkloridi 0,9% 307
Yhteensopiva
Injektioneste Dacarbazine 4 mg/ml
Injektioneste Amifostine 10 mg/ml
Glukoosi 5% 3
Yhteensopiva
Injektioneste Dacarbazine 4 mg/ml
Injektioneste Aztreonam 40 mg/ml
Glukoosi 5% 99
Yhteensopiva
Injektioneste Dacarbazine 4 mg/ml
Injektioneste Doxorubicin hydrochloride liposome peg 0.4 mg/ml
Glukoosi 5% 251
Yhteensopiva
Injektioneste Dacarbazine 4 mg/ml
Injektioneste Etoposide phosphate 5 mg/ml
Glukoosi 5% 1410
Yhteensopiva
Injektioneste Dacarbazine 4 mg/ml
Injektioneste Filgrastim 30 µg/ml
Glukoosi 5% 244
Yhteensopiva
Injektioneste Dacarbazine 4 mg/ml
Injektioneste Fludarabine phosphate 1 mg/ml
Glukoosi 5% 492
Yhteensopiva
Injektioneste Dacarbazine 1.7 mg/ml
Injektioneste Granisetron hydrochloride 1 mg/ml
Natriumkloridi 0,9% 57
Määrittelemätön yhteensopimattomuus yhteensopimaton
Injektioneste Dacarbazine
Injektioneste Heparin sodium
3540
Välittömät sateet yhteensopimaton
Injektioneste Dacarbazine 25 mg/ml
Injektioneste Heparin sodium 100 UI/ml
Natriumkloridi 0,9% 860
Yhteensopiva
Injektioneste Dacarbazine 4 mg/ml
Injektioneste Melphalan 0.1 mg/ml
Natriumkloridi 0,9% 169
Yhteensopiva
Injektioneste Dacarbazine 3 mg/ml
Injektioneste Ondansetron hydrochloride 0,03 mg/ml
Glukoosi 5% 184
Yhteensopiva
Injektioneste Dacarbazine
Glukoosi 5% 3605
Määrittelemätön yhteensopimattomuus yhteensopimaton
Injektioneste Dacarbazine
Injektioneste Heparin sodium
3267
Määrittelemätön yhteensopimattomuus yhteensopimaton
Injektioneste Dacarbazine
Injektioneste Heparin sodium
3605
Määrittelemätön yhteensopimattomuus yhteensopimaton
Injektioneste Dacarbazine
Injektioneste Hydrocortisone sodium succinate
3267
Määrittelemätön yhteensopimattomuus yhteensopimaton
Injektioneste Dacarbazine
Injektioneste Hydrocortisone sodium succinate
3605
Yhteensopiva
Injektioneste Dacarbazine 1 mg/ml
Injektioneste Ondansetron hydrochloride 0,03 mg/ml
Glukoosi 5% 184
Yhteensopiva
Injektioneste Dacarbazine 3 mg/ml
Injektioneste Ondansetron hydrochloride 0,3 mg/ml
Glukoosi 5% 184
Yhteensopiva
Injektioneste Dacarbazine 1 mg/ml
Injektioneste Ondansetron hydrochloride 0,3 mg/ml
Glukoosi 5% 184
Välittömät sateet yhteensopimaton
Injektioneste Dacarbazine 4 mg/ml
Injektioneste Piperacillin sodium / tazobactam 40/5 mg/ml
Glukoosi 5% 81
Yhteensopiva
Injektioneste Dacarbazine
Natriumkloridi 0,9% 3605
Yhteensopiva
Injektioneste Dacarbazine 4 mg/ml
Injektioneste Ondansetron hydrochloride 1 mg/ml
Natriumkloridi 0,9% 334
Yhteensopiva
Injektioneste Dacarbazine 4 mg/ml
Injektioneste Paclitaxel 1.2 mg/ml
Glukoosi 5% 248
Yhteensopiva
Injektioneste Dacarbazine 4 mg/ml
Injektioneste Palonosetron hydrochloride 50 µg/ml
Glukoosi 5% 2107
Yhteensopiva
Injektioneste Dacarbazine 4 mg/ml
Injektioneste Sargramostim 10 µg/ml
Natriumkloridi 0,9% 335
Määrittelemätön yhteensopimattomuus yhteensopimaton
Injektioneste Dacarbazine
Injektioneste Sodium bicarbonate
3605
Määrittelemätön yhteensopimattomuus yhteensopimaton
Injektioneste Dacarbazine
Injektioneste Sodium bicarbonate
3267
Yhteensopiva
Injektioneste Dacarbazine 4 mg/ml
Injektioneste Teniposide 0.1 mg/ml
Glukoosi 5% 905
Yhteensopiva
Injektioneste Dacarbazine 4 mg/ml
Injektioneste Thiotepa 1 mg/ml
Glukoosi 5% 249
Yhteensopiva
Injektioneste Dacarbazine 4 mg/ml
Injektioneste Vinorelbine tartrate 1 mg/ml
Natriumkloridi 0,9% 84
Määrittelemätön yhteensopimattomuus yhteensopimaton
Injektioneste Dacarbazine
NaHCO3 3605

  Mentions Légales