Ostatnia aktualizacja :
18/03/2026
Lek cytostatyk   Dacarbazine  
Injekcje
Trwałość roztworów Trwałość w mieszaninie Czynnik wpływający na trwałość Zgodność Sposób podania Bibliografia pdf
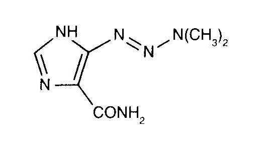
   Struktura chemiczna  

Nazwa handlowa   Nazwa handlowa     

Trade names are indicative and excipients composition can be different depending on the country and manufacturers

Acocarb Meksyk
Celdaz Indie, Peru
Dabaz Brazylia, Indie
Dacarba Indie
Dacarbazin Austria, Malezja, Polska, Węgry
Dacarbazina Argentyna, Brazylia, Chile, Ekwador, Hiszpania, KolumbiaKolumbia, Meksyk, Peru, Włochy
Dacarbazine Australia, Belgia, Dania, Indie, Iran, Irlandia, Kanada, nowa Zelandia, Stany Zjednoczone Ameryki, Szwecja, Wielka Brytania
Dacarex Indie
Dacarin Indie
Dacarpalm Peru
Dacarzine Indie
Dacin Szwajcaria, Słowenia
Dacmed Indie
Daracina KolumbiaKolumbia
Deticene Arabia Saudyjska, Francja , Grecja, Holandia, Portugalia
Detimedac KolumbiaKolumbia, Niemcy, Rumunia, Tunisie
DTIC Austria, nowa Zelandia, Stany Zjednoczone Ameryki
Fauldetic Portugalia
Oncocarbil Argentyna, Ekwador, Peru
Tiferomed Meksyk
Sposób podania   Sposób podania :Dacarbazine     
Voie
Wlew dożylny
Podanie dotętnicze

  Mentions Légales