Laatste update :
27/04/2026
geneesmiddel tegen kanker   Dacarbazine  
injecteerbaar geneesmiddel
Stabiliteit in oplossing Stabiliteit in mengsels Factoren die de stabiliteit beïnvloeden Verenigbaarheden Toedieningswijze Literatuur pdf
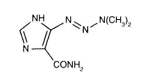
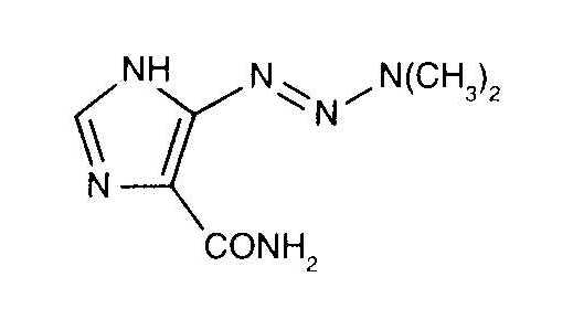
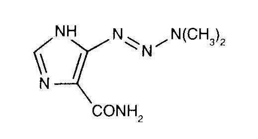
   Molecuulstructuur  

Merknamen in verschillende landen   Merknamen in verschillende landen     

Handelsnamen zijn slechts een indicatie; de samenstelling van hulpstoffen kan per land variëren afhankelijk van de fabrikant

Acocarb Mexico
Celdaz Indië, Peru
Dabaz Brazilië, Indië
Dacarba Indië
Dacarbazin Hongarije, Maleisië, Oostenrijk, Polen
Dacarbazina Argentinië, Brazilië, Chili, Colombia, Ecuador, Italië, Mexico, Peru, Spanje
Dacarbazine Australië, België, Canada, Denemarken, Groot Britannië, Ierland, Indië, Iran, nieuw Zeeland, USA, Zweden
Dacarex Indië
Dacarin Indië
Dacarpalm Peru
Dacarzine Indië
Dacin Slovenië, Zwitserland
Dacmed Indië
Daracina Colombia
Deticene Frankrijk, Griekenland, Nederland, Portugal, Saudi-Arabië
Detimedac Colombia, Duitsland, Roemenië, Tunisie
DTIC nieuw Zeeland, Oostenrijk, USA
Fauldetic Portugal
Oncocarbil Argentinië, Ecuador, Peru
Tiferomed Mexico
Verenigbaarheden   injecteerbaar geneesmiddel   Verenigbaarheden : Dacarbazine              
In dit scherm worden de verenigbaarheden en onverenigbaarheden weergegeven. In het geval van een onverenigbaarheid wordt ook het type (neerslag, kleurverandering, modificatie van een emulsie, etc) weergegeven. De weergegeven verenigbaarheden zijn meestal alleen op uiterlijk beoordeeld, er heeft zelden een chemische beoordeling van iedere component plaatsgevonden. De verenigbaarheden betreffen gelijktijdige toediening aan de patient middels de Y-site. De data kan niet gebruikt worden in de beoordeling van verenigbaarheden van componenten in infuuszakken of spuiten. Die informatie is te vinden onder ‘stabiliteit in mengsels’.
Stof Oplosmiddel Literatuur
Neerslag na 1 uur Onverenigbaar
injecteerbaar geneesmiddel Dacarbazine 4 mg/ml
injecteerbaar geneesmiddel Allopurinol sodium 3 mg/ml
Natriumchloride 0,9% 307
Verenigbaar
injecteerbaar geneesmiddel Dacarbazine 4 mg/ml
injecteerbaar geneesmiddel Amifostine 10 mg/ml
Glucose 5% 3
Verenigbaar
injecteerbaar geneesmiddel Dacarbazine 4 mg/ml
injecteerbaar geneesmiddel Aztreonam 40 mg/ml
Glucose 5% 99
Verenigbaar
injecteerbaar geneesmiddel Dacarbazine 4 mg/ml
injecteerbaar geneesmiddel Doxorubicin hydrochloride liposome peg 0.4 mg/ml
Glucose 5% 251
Verenigbaar
injecteerbaar geneesmiddel Dacarbazine 4 mg/ml
injecteerbaar geneesmiddel Etoposide phosphate 5 mg/ml
Glucose 5% 1410
Verenigbaar
injecteerbaar geneesmiddel Dacarbazine 4 mg/ml
injecteerbaar geneesmiddel Filgrastim 30 µg/ml
Glucose 5% 244
Verenigbaar
injecteerbaar geneesmiddel Dacarbazine 4 mg/ml
injecteerbaar geneesmiddel Fludarabine phosphate 1 mg/ml
Glucose 5% 492
Verenigbaar
injecteerbaar geneesmiddel Dacarbazine 1.7 mg/ml
injecteerbaar geneesmiddel Granisetron hydrochloride 1 mg/ml
Natriumchloride 0,9% 57
Niet-gespecificeerde incompatibiliteit Onverenigbaar
injecteerbaar geneesmiddel Dacarbazine
injecteerbaar geneesmiddel Heparin sodium
3540
Onmiddellijke neerslag Onverenigbaar
injecteerbaar geneesmiddel Dacarbazine 25 mg/ml
injecteerbaar geneesmiddel Heparin sodium 100 UI/ml
Natriumchloride 0,9% 860
Verenigbaar
injecteerbaar geneesmiddel Dacarbazine 4 mg/ml
injecteerbaar geneesmiddel Melphalan 0.1 mg/ml
Natriumchloride 0,9% 169
Verenigbaar
injecteerbaar geneesmiddel Dacarbazine 3 mg/ml
injecteerbaar geneesmiddel Ondansetron hydrochloride 0,03 mg/ml
Glucose 5% 184
Verenigbaar
injecteerbaar geneesmiddel Dacarbazine
Glucose 5% 3605
Niet-gespecificeerde incompatibiliteit Onverenigbaar
injecteerbaar geneesmiddel Dacarbazine
injecteerbaar geneesmiddel Heparin sodium
3267
Niet-gespecificeerde incompatibiliteit Onverenigbaar
injecteerbaar geneesmiddel Dacarbazine
injecteerbaar geneesmiddel Heparin sodium
3605
Niet-gespecificeerde incompatibiliteit Onverenigbaar
injecteerbaar geneesmiddel Dacarbazine
injecteerbaar geneesmiddel Hydrocortisone sodium succinate
3267
Niet-gespecificeerde incompatibiliteit Onverenigbaar
injecteerbaar geneesmiddel Dacarbazine
injecteerbaar geneesmiddel Hydrocortisone sodium succinate
3605
Verenigbaar
injecteerbaar geneesmiddel Dacarbazine 1 mg/ml
injecteerbaar geneesmiddel Ondansetron hydrochloride 0,03 mg/ml
Glucose 5% 184
Verenigbaar
injecteerbaar geneesmiddel Dacarbazine 3 mg/ml
injecteerbaar geneesmiddel Ondansetron hydrochloride 0,3 mg/ml
Glucose 5% 184
Verenigbaar
injecteerbaar geneesmiddel Dacarbazine 1 mg/ml
injecteerbaar geneesmiddel Ondansetron hydrochloride 0,3 mg/ml
Glucose 5% 184
Onmiddellijke neerslag Onverenigbaar
injecteerbaar geneesmiddel Dacarbazine 4 mg/ml
injecteerbaar geneesmiddel Piperacillin sodium / tazobactam 40/5 mg/ml
Glucose 5% 81
Verenigbaar
injecteerbaar geneesmiddel Dacarbazine
Natriumchloride 0,9% 3605
Verenigbaar
injecteerbaar geneesmiddel Dacarbazine 4 mg/ml
injecteerbaar geneesmiddel Ondansetron hydrochloride 1 mg/ml
Natriumchloride 0,9% 334
Verenigbaar
injecteerbaar geneesmiddel Dacarbazine 4 mg/ml
injecteerbaar geneesmiddel Paclitaxel 1.2 mg/ml
Glucose 5% 248
Verenigbaar
injecteerbaar geneesmiddel Dacarbazine 4 mg/ml
injecteerbaar geneesmiddel Palonosetron hydrochloride 50 µg/ml
Glucose 5% 2107
Verenigbaar
injecteerbaar geneesmiddel Dacarbazine 4 mg/ml
injecteerbaar geneesmiddel Sargramostim 10 µg/ml
Natriumchloride 0,9% 335
Niet-gespecificeerde incompatibiliteit Onverenigbaar
injecteerbaar geneesmiddel Dacarbazine
injecteerbaar geneesmiddel Sodium bicarbonate
3605
Niet-gespecificeerde incompatibiliteit Onverenigbaar
injecteerbaar geneesmiddel Dacarbazine
injecteerbaar geneesmiddel Sodium bicarbonate
3267
Verenigbaar
injecteerbaar geneesmiddel Dacarbazine 4 mg/ml
injecteerbaar geneesmiddel Teniposide 0.1 mg/ml
Glucose 5% 905
Verenigbaar
injecteerbaar geneesmiddel Dacarbazine 4 mg/ml
injecteerbaar geneesmiddel Thiotepa 1 mg/ml
Glucose 5% 249
Verenigbaar
injecteerbaar geneesmiddel Dacarbazine 4 mg/ml
injecteerbaar geneesmiddel Vinorelbine tartrate 1 mg/ml
Natriumchloride 0,9% 84
Niet-gespecificeerde incompatibiliteit Onverenigbaar
injecteerbaar geneesmiddel Dacarbazine
NaHCO3 3605

  Mentions Légales