Utolsó frissítés :
27/04/2026
rákellenes gyógyszer   Dacarbazine  
Injekció
Az oldatok stabilitása A keverékek stabilitása Stabilitást befolyásoló tényezők Kompatibilitás Az alkalmazás módja Irodalom pdf
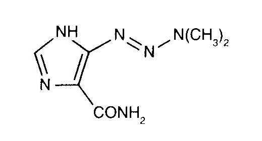
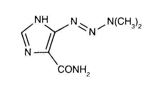
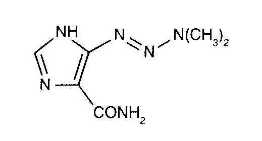
   Kémiai szerkezet   

Kereskedelmi név   Kereskedelmi név     

A kereskedelmi név meghatározó jelentőségű: a készítmények összetétele országonként, előállítóként eltérő lehet

Acocarb Mexikó
Celdaz India, Peru
Dabaz Brazília, India
Dacarba India
Dacarbazin Ausztria, Lengyelország, Magyarország, Malaysia
Dacarbazina Argentína, Brazília, Chile, Colombia, Ecuador, Mexikó, Olaszország, Peru, Spanyolország
Dacarbazine Amerikai Egyesült Államok, Ausztrália, Belgium, Dánia, India, Irán, Írország, Kanada, Nagy-Britannia, Svédország, új-Zéland
Dacarex India
Dacarin India
Dacarpalm Peru
Dacarzine India
Dacin Svájc, Szlovénia
Dacmed India
Daracina Colombia
Deticene Franciaország, Görögország, Hollandia, Portugália, Szaúd-Arábiában
Detimedac Colombia, Németország, Románia, Tunézia
DTIC Amerikai Egyesült Államok, Ausztria, új-Zéland
Fauldetic Portugália
Oncocarbil Argentína, Ecuador, Peru
Tiferomed Mexikó
Kompatibilitás   Injekció   Kompatibilitás : Dacarbazine              
Ovdje su prikazane kompatibilnosti ili nekompatibilnosti s tipom nekompatibilnosti (taloženje, promjena boje, modifikacija emulzije itd.) u ovom slučaju. Kompatibilnosti prikazane ovdje najčešće su fizikalne dok se kemijska stabilnost molekule rijetko procjenjuje. Procjena ovih mikstura je proučavana kako bi se razmotrila mogućnost primjene lijeka putem Y-mjesta. Ovi se podaci ne smiju koristiti za pripremu mikstura unaprijed u vrećicama ili štrcaljkama. Ova vrsta informacije se može pronaći u odjeljku « stabilnost u miksturama ».
Vegyület Oldószer Irodalom
Csapadék 1 óra után Összeegyeztethetetlen
Injekció Dacarbazine 4 mg/ml
Injekció Allopurinol sodium 3 mg/ml
0,9% nátrium-klorid 307
Összeegyeztethető
Injekció Dacarbazine 4 mg/ml
Injekció Amifostine 10 mg/ml
5% glükóz 3
Összeegyeztethető
Injekció Dacarbazine 4 mg/ml
Injekció Aztreonam 40 mg/ml
5% glükóz 99
Összeegyeztethető
Injekció Dacarbazine 4 mg/ml
Injekció Doxorubicin hydrochloride liposome peg 0.4 mg/ml
5% glükóz 251
Összeegyeztethető
Injekció Dacarbazine 4 mg/ml
Injekció Etoposide phosphate 5 mg/ml
5% glükóz 1410
Összeegyeztethető
Injekció Dacarbazine 4 mg/ml
Injekció Filgrastim 30 µg/ml
5% glükóz 244
Összeegyeztethető
Injekció Dacarbazine 4 mg/ml
Injekció Fludarabine phosphate 1 mg/ml
5% glükóz 492
Összeegyeztethető
Injekció Dacarbazine 1.7 mg/ml
Injekció Granisetron hydrochloride 1 mg/ml
0,9% nátrium-klorid 57
Meghatározatlan összeférhetetlenség Összeegyeztethetetlen
Injekció Dacarbazine
Injekció Heparin sodium
3540
Azonnali csapadék Összeegyeztethetetlen
Injekció Dacarbazine 25 mg/ml
Injekció Heparin sodium 100 UI/ml
0,9% nátrium-klorid 860
Összeegyeztethető
Injekció Dacarbazine 4 mg/ml
Injekció Melphalan 0.1 mg/ml
0,9% nátrium-klorid 169
Összeegyeztethető
Injekció Dacarbazine 3 mg/ml
Injekció Ondansetron hydrochloride 0,03 mg/ml
5% glükóz 184
Összeegyeztethető
Injekció Dacarbazine
5% glükóz 3605
Meghatározatlan összeférhetetlenség Összeegyeztethetetlen
Injekció Dacarbazine
Injekció Heparin sodium
3267
Meghatározatlan összeférhetetlenség Összeegyeztethetetlen
Injekció Dacarbazine
Injekció Heparin sodium
3605
Meghatározatlan összeférhetetlenség Összeegyeztethetetlen
Injekció Dacarbazine
Injekció Hydrocortisone sodium succinate
3267
Meghatározatlan összeférhetetlenség Összeegyeztethetetlen
Injekció Dacarbazine
Injekció Hydrocortisone sodium succinate
3605
Összeegyeztethető
Injekció Dacarbazine 1 mg/ml
Injekció Ondansetron hydrochloride 0,03 mg/ml
5% glükóz 184
Összeegyeztethető
Injekció Dacarbazine 3 mg/ml
Injekció Ondansetron hydrochloride 0,3 mg/ml
5% glükóz 184
Összeegyeztethető
Injekció Dacarbazine 1 mg/ml
Injekció Ondansetron hydrochloride 0,3 mg/ml
5% glükóz 184
Azonnali csapadék Összeegyeztethetetlen
Injekció Dacarbazine 4 mg/ml
Injekció Piperacillin sodium / tazobactam 40/5 mg/ml
5% glükóz 81
Összeegyeztethető
Injekció Dacarbazine
0,9% nátrium-klorid 3605
Összeegyeztethető
Injekció Dacarbazine 4 mg/ml
Injekció Ondansetron hydrochloride 1 mg/ml
0,9% nátrium-klorid 334
Összeegyeztethető
Injekció Dacarbazine 4 mg/ml
Injekció Paclitaxel 1.2 mg/ml
5% glükóz 248
Összeegyeztethető
Injekció Dacarbazine 4 mg/ml
Injekció Palonosetron hydrochloride 50 µg/ml
5% glükóz 2107
Összeegyeztethető
Injekció Dacarbazine 4 mg/ml
Injekció Sargramostim 10 µg/ml
0,9% nátrium-klorid 335
Meghatározatlan összeférhetetlenség Összeegyeztethetetlen
Injekció Dacarbazine
Injekció Sodium bicarbonate
3605
Meghatározatlan összeférhetetlenség Összeegyeztethetetlen
Injekció Dacarbazine
Injekció Sodium bicarbonate
3267
Összeegyeztethető
Injekció Dacarbazine 4 mg/ml
Injekció Teniposide 0.1 mg/ml
5% glükóz 905
Összeegyeztethető
Injekció Dacarbazine 4 mg/ml
Injekció Thiotepa 1 mg/ml
5% glükóz 249
Összeegyeztethető
Injekció Dacarbazine 4 mg/ml
Injekció Vinorelbine tartrate 1 mg/ml
0,9% nátrium-klorid 84
Meghatározatlan összeférhetetlenség Összeegyeztethetetlen
Injekció Dacarbazine
NaHCO3 3605

  Mentions Légales