Posledná aktualizácia :
27/11/2025
Protinádorová liečba   Dacarbazine  
Injekcia
Stabilita roztokov Stabilita v zmesiach Faktory ovplyvňujúce stabilitu Kompatibility spôsob podania Odkazy na literatúru PDF
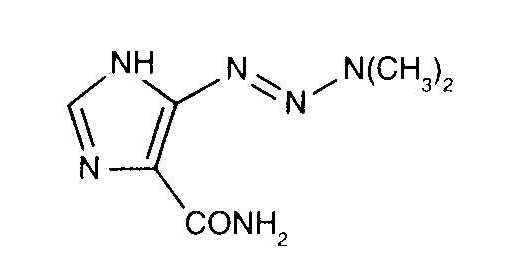
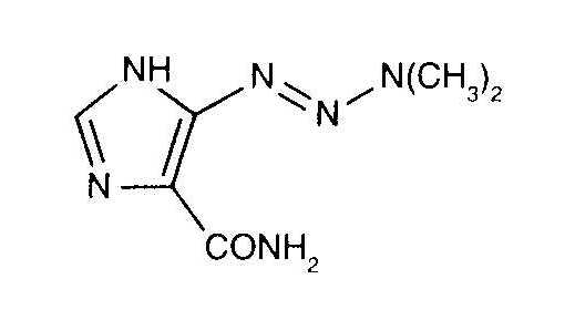
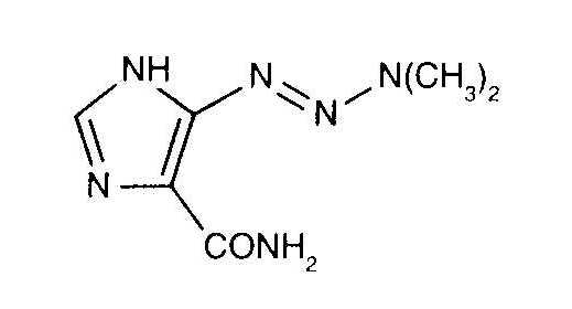
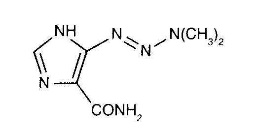
   Chemický vzorec  

Obchodný názov   Obchodný názov     

Obchodné názvy sú orientačné, a zloženie pomocných látok sa môže líšiť v závislosti od krajiny a výrobcu.

Acocarb Mexiko
Celdaz India, peru
Dabaz Brazília, India
Dacarba India
Dacarbazin Maďarsko, Malajzia, Poľsko, Rakúsko
Dacarbazina Argentína, Brazília, Čile, Ekvádor, Kolumbia, Mexiko, peru, Španielsko, Taliansko
Dacarbazine Austrália, Belgicko, Dánsko, India, Irán, Írsko, Kanada, nový Zéland, Spojené štáty Americké, Švédsko, Veľká Británia
Dacarex India
Dacarin India
Dacarpalm peru
Dacarzine India
Dacin Slovinsko, Švajčiarsko
Dacmed India
Daracina Kolumbia
Deticene Francúzsko, Grécko, Holandsko, Portugalsko, Saudská Arábia
Detimedac Kolumbia, Nemecko, Rumunsko, Tunisko
DTIC nový Zéland, Rakúsko, Spojené štáty Americké
Fauldetic Portugalsko
Oncocarbil Argentína, Ekvádor, peru
Tiferomed Mexiko
Kompatibility   Injekcia   Kompatibility : Dacarbazine              
Toto okno zobrazuje kompatibility alebo inkombatibility, v prípade inkompatibility aj jej typ (vyzrážanie, zmena farby, zmena emulzie atď.). Tu vymenované kompatibility sú väčšinou len fyzikálne, chemická stabilita každej zo zlúčenín sa hodnotila len zriedkavo. Tieto zmesi sa skúmali za účelom možnosti súbežného podávania pacientovi cez infúznu spojku Y. Údaje sa nedajú použiť na prípravu zmesí vo vakoch alebo striekačkách. Taká informácia sa nachádza v okne „Stabilita v zmesiach“.
Zlúčenina rozpúšťadlo odkazy na lieteratúru
Zrážky po 1 hodine nezlučiteľný
Injekcia Dacarbazine 4 mg/ml
Injekcia Allopurinol sodium 3 mg/ml
0,9% chlorid sodný 307
kompatibilný
Injekcia Dacarbazine 4 mg/ml
Injekcia Amifostine 10 mg/ml
5% glukóza 3
kompatibilný
Injekcia Dacarbazine 4 mg/ml
Injekcia Aztreonam 40 mg/ml
5% glukóza 99
kompatibilný
Injekcia Dacarbazine 4 mg/ml
Injekcia Doxorubicin hydrochloride liposome peg 0.4 mg/ml
5% glukóza 251
kompatibilný
Injekcia Dacarbazine 4 mg/ml
Injekcia Etoposide phosphate 5 mg/ml
5% glukóza 1410
kompatibilný
Injekcia Dacarbazine 4 mg/ml
Injekcia Filgrastim 30 µg/ml
5% glukóza 244
kompatibilný
Injekcia Dacarbazine 4 mg/ml
Injekcia Fludarabine phosphate 1 mg/ml
5% glukóza 492
kompatibilný
Injekcia Dacarbazine 1.7 mg/ml
Injekcia Granisetron hydrochloride 1 mg/ml
0,9% chlorid sodný 57
Nešpecifikovaná nekompatibilita nezlučiteľný
Injekcia Dacarbazine
Injekcia Heparin sodium
3540
Okamžité zrážanie nezlučiteľný
Injekcia Dacarbazine 25 mg/ml
Injekcia Heparin sodium 100 UI/ml
0,9% chlorid sodný 860
kompatibilný
Injekcia Dacarbazine 4 mg/ml
Injekcia Melphalan 0.1 mg/ml
0,9% chlorid sodný 169
kompatibilný
Injekcia Dacarbazine 3 mg/ml
Injekcia Ondansetron hydrochloride 0,03 mg/ml
5% glukóza 184
kompatibilný
Injekcia Dacarbazine
5% glukóza 3605
Nešpecifikovaná nekompatibilita nezlučiteľný
Injekcia Dacarbazine
Injekcia Heparin sodium
3267
Nešpecifikovaná nekompatibilita nezlučiteľný
Injekcia Dacarbazine
Injekcia Heparin sodium
3605
Nešpecifikovaná nekompatibilita nezlučiteľný
Injekcia Dacarbazine
Injekcia Hydrocortisone sodium succinate
3267
Nešpecifikovaná nekompatibilita nezlučiteľný
Injekcia Dacarbazine
Injekcia Hydrocortisone sodium succinate
3605
kompatibilný
Injekcia Dacarbazine 1 mg/ml
Injekcia Ondansetron hydrochloride 0,03 mg/ml
5% glukóza 184
kompatibilný
Injekcia Dacarbazine 3 mg/ml
Injekcia Ondansetron hydrochloride 0,3 mg/ml
5% glukóza 184
kompatibilný
Injekcia Dacarbazine 1 mg/ml
Injekcia Ondansetron hydrochloride 0,3 mg/ml
5% glukóza 184
Okamžité zrážanie nezlučiteľný
Injekcia Dacarbazine 4 mg/ml
Injekcia Piperacillin sodium / tazobactam 40/5 mg/ml
5% glukóza 81
kompatibilný
Injekcia Dacarbazine
0,9% chlorid sodný 3605
kompatibilný
Injekcia Dacarbazine 4 mg/ml
Injekcia Ondansetron hydrochloride 1 mg/ml
0,9% chlorid sodný 334
kompatibilný
Injekcia Dacarbazine 4 mg/ml
Injekcia Paclitaxel 1.2 mg/ml
5% glukóza 248
kompatibilný
Injekcia Dacarbazine 4 mg/ml
Injekcia Palonosetron hydrochloride 50 µg/ml
5% glukóza 2107
kompatibilný
Injekcia Dacarbazine 4 mg/ml
Injekcia Sargramostim 10 µg/ml
0,9% chlorid sodný 335
Nešpecifikovaná nekompatibilita nezlučiteľný
Injekcia Dacarbazine
Injekcia Sodium bicarbonate
3605
Nešpecifikovaná nekompatibilita nezlučiteľný
Injekcia Dacarbazine
Injekcia Sodium bicarbonate
3267
kompatibilný
Injekcia Dacarbazine 4 mg/ml
Injekcia Teniposide 0.1 mg/ml
5% glukóza 905
kompatibilný
Injekcia Dacarbazine 4 mg/ml
Injekcia Thiotepa 1 mg/ml
5% glukóza 249
kompatibilný
Injekcia Dacarbazine 4 mg/ml
Injekcia Vinorelbine tartrate 1 mg/ml
0,9% chlorid sodný 84
Nešpecifikovaná nekompatibilita nezlučiteľný
Injekcia Dacarbazine
NaHCO3 3605

  Mentions Légales