viimane versioon :
27/11/2025
vähiravimite   Dacarbazine  
Süsteravim
Stabiilsus lahustes Stabiilsust mõjutavad tegurid stabiilsust mõjutavad faktorid Sobimatus Manustamis viis Viited pdf
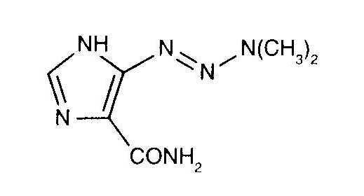
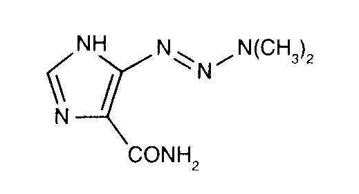
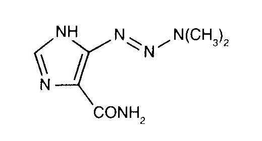
   keemiline struktuur  

Kaubanduslikud nimed erinevates maades   Kaubanduslikud nimed erinevates maades     

Preparaatide nimed on näitlikud ja abianete sisaldus võib erineda sõltuvalt riigist ja laborist

Acocarb Mehhiko
Celdaz India, Maroko
Dabaz Brasiilia, India
Dacarba India
Dacarbazin Austria, Malaisia, Poola, Ungari
Dacarbazina Argentiina, Brasiilia, Ecuador, Hispaania, Itaalia, Kolumbia, Maroko, Mehhiko, Tšiili
Dacarbazine Ameerika ühendriigid, Austraalia, Belgia, Iirimaa, India, Iraan, Kanada, Rootsi, Suurbritannia, Taani, uus-Meremaa
Dacarex India
Dacarin India
Dacarpalm Maroko
Dacarzine India
Dacin Sloveenia, Sveits
Dacmed India
Daracina Kolumbia
Deticene Holland, Kreeka, Portugal, Prantsusmaa, Saudi Araabia
Detimedac Kolumbia, Rumeenia, Saksamaa, Tuneesia
DTIC Ameerika ühendriigid, Austria, uus-Meremaa
Fauldetic Portugal
Oncocarbil Argentiina, Ecuador, Maroko
Tiferomed Mehhiko
Sobimatus   Süsteravim   Sobimatus : Dacarbazine              
Sellel lehel kuvatakse sobimatusi ja sobimatuse tüüpi (sadenemine, värvuse muutus, emulsiooni modifitseerumine jne). Enamasti on siin lehel kuvatud füüsikalised sobimatused, kuna molekulide keemilist stabiilsust hinnatakse harva. Hinnatud on segude sobivust Y-liinis. Antud infot ei saa kasutada ravimite sobivuse hindamiseks juhul, kui ravimid on segatud süstaldes või infusioonikottides. See info on lehel « stabiilsus segudes ».
ingredient lahusti Viited
Sade 1 tunni pärast Sobimatu
Süsteravim Dacarbazine 4 mg/ml
Süsteravim Allopurinol sodium 3 mg/ml
naatriumkloriid 0.9% 307
Ühilduv
Süsteravim Dacarbazine 4 mg/ml
Süsteravim Amifostine 10 mg/ml
glükoos 5% 3
Ühilduv
Süsteravim Dacarbazine 4 mg/ml
Süsteravim Aztreonam 40 mg/ml
glükoos 5% 99
Ühilduv
Süsteravim Dacarbazine 4 mg/ml
Süsteravim Doxorubicin hydrochloride liposome peg 0.4 mg/ml
glükoos 5% 251
Ühilduv
Süsteravim Dacarbazine 4 mg/ml
Süsteravim Etoposide phosphate 5 mg/ml
glükoos 5% 1410
Ühilduv
Süsteravim Dacarbazine 4 mg/ml
Süsteravim Filgrastim 30 µg/ml
glükoos 5% 244
Ühilduv
Süsteravim Dacarbazine 4 mg/ml
Süsteravim Fludarabine phosphate 1 mg/ml
glükoos 5% 492
Ühilduv
Süsteravim Dacarbazine 1.7 mg/ml
Süsteravim Granisetron hydrochloride 1 mg/ml
naatriumkloriid 0.9% 57
Täpsustamata sobimatus Sobimatu
Süsteravim Dacarbazine
Süsteravim Heparin sodium
3540
Kohene sade Sobimatu
Süsteravim Dacarbazine 25 mg/ml
Süsteravim Heparin sodium 100 UI/ml
naatriumkloriid 0.9% 860
Ühilduv
Süsteravim Dacarbazine 4 mg/ml
Süsteravim Melphalan 0.1 mg/ml
naatriumkloriid 0.9% 169
Ühilduv
Süsteravim Dacarbazine 3 mg/ml
Süsteravim Ondansetron hydrochloride 0,03 mg/ml
glükoos 5% 184
Ühilduv
Süsteravim Dacarbazine
glükoos 5% 3605
Täpsustamata sobimatus Sobimatu
Süsteravim Dacarbazine
Süsteravim Heparin sodium
3267
Täpsustamata sobimatus Sobimatu
Süsteravim Dacarbazine
Süsteravim Heparin sodium
3605
Täpsustamata sobimatus Sobimatu
Süsteravim Dacarbazine
Süsteravim Hydrocortisone sodium succinate
3267
Täpsustamata sobimatus Sobimatu
Süsteravim Dacarbazine
Süsteravim Hydrocortisone sodium succinate
3605
Ühilduv
Süsteravim Dacarbazine 1 mg/ml
Süsteravim Ondansetron hydrochloride 0,03 mg/ml
glükoos 5% 184
Ühilduv
Süsteravim Dacarbazine 3 mg/ml
Süsteravim Ondansetron hydrochloride 0,3 mg/ml
glükoos 5% 184
Ühilduv
Süsteravim Dacarbazine 1 mg/ml
Süsteravim Ondansetron hydrochloride 0,3 mg/ml
glükoos 5% 184
Kohene sade Sobimatu
Süsteravim Dacarbazine 4 mg/ml
Süsteravim Piperacillin sodium / tazobactam 40/5 mg/ml
glükoos 5% 81
Ühilduv
Süsteravim Dacarbazine
naatriumkloriid 0.9% 3605
Ühilduv
Süsteravim Dacarbazine 4 mg/ml
Süsteravim Ondansetron hydrochloride 1 mg/ml
naatriumkloriid 0.9% 334
Ühilduv
Süsteravim Dacarbazine 4 mg/ml
Süsteravim Paclitaxel 1.2 mg/ml
glükoos 5% 248
Ühilduv
Süsteravim Dacarbazine 4 mg/ml
Süsteravim Palonosetron hydrochloride 50 µg/ml
glükoos 5% 2107
Ühilduv
Süsteravim Dacarbazine 4 mg/ml
Süsteravim Sargramostim 10 µg/ml
naatriumkloriid 0.9% 335
Täpsustamata sobimatus Sobimatu
Süsteravim Dacarbazine
Süsteravim Sodium bicarbonate
3605
Täpsustamata sobimatus Sobimatu
Süsteravim Dacarbazine
Süsteravim Sodium bicarbonate
3267
Ühilduv
Süsteravim Dacarbazine 4 mg/ml
Süsteravim Teniposide 0.1 mg/ml
glükoos 5% 905
Ühilduv
Süsteravim Dacarbazine 4 mg/ml
Süsteravim Thiotepa 1 mg/ml
glükoos 5% 249
Ühilduv
Süsteravim Dacarbazine 4 mg/ml
Süsteravim Vinorelbine tartrate 1 mg/ml
naatriumkloriid 0.9% 84
Täpsustamata sobimatus Sobimatu
Süsteravim Dacarbazine
NaHCO3 3605

  Mentions Légales