Poslední aktualizace :
27/04/2026
rakovina drog   Dacarbazine  
injekce
Stabilita roztoků Stabilita směsí Faktory ovlivňující stabilitu Kompatibilita Způsoby aplikace Odkazy pdf
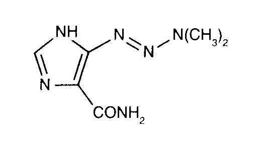
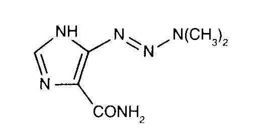
   Chemický vzorec  

Obchodní název   Obchodní název     

Trade names are indicative and excipients composition can be different depending on the country and manufacturers

Acocarb Mexiko
Celdaz Indie, Peru
Dabaz BrazÌlie, Indie
Dacarba Indie
Dacarbazin Malajsie, MaÔarsko, Polsko, Rakousko
Dacarbazina äpanÏlsko, Argentina, BrazÌlie, Chile, Ekvádor, Itálie, Kolumbie, Mexiko, Peru
Dacarbazine Austrálie, Belgie, Dánsko, Indie, Írán, Irsko, Kanada, nový Zéland, Švédsko, USA, Velká Británie
Dacarex Indie
Dacarin Indie
Dacarpalm Peru
Dacarzine Indie
Dacin Slovinsko, Švýcarsko
Dacmed Indie
Daracina Kolumbie
Deticene Francie, Nizozemsko, Portugalsko, Saúdská Arábie, ÿecko
Detimedac Kolumbie, NÏmecko, Rumunsko, Tunisko
DTIC nový Zéland, Rakousko, USA
Fauldetic Portugalsko
Oncocarbil Argentina, Ekvádor, Peru
Tiferomed Mexiko
Kompatibilita   injekce   Kompatibilita : Dacarbazine              
Tato obrazovka ukazuje kompatibilitu nebo nekompatibilitu s, v tomto případě, typem nekompatibility (srážení, změna barvy, modifikace emulze atd.). Zde uvedené kompatibility jsou většinou pouze fyzikální, přičemž chemická stabilita každé molekuly je zřídka hodnocena. Hodnocení těchto směsí bylo studováno, aby se zvážila možnost podání Y-místa pacientovi. Tyto údaje nelze použít k přípravě směsí předem v pytlích nebo stříkačkách. Tento typ informací je k dispozici na obrazovce „Stabilita ve směsi“.
SlouËenina RozpouötÏdlo Odkazy
Srážky po 1 hodině Nekompatibilní
injekce Dacarbazine 4 mg/ml
injekce Allopurinol sodium 3 mg/ml
Chlorid sodný 0,9% 307
Kompatibilní
injekce Dacarbazine 4 mg/ml
injekce Amifostine 10 mg/ml
GlukÛza 5% 3
Kompatibilní
injekce Dacarbazine 4 mg/ml
injekce Aztreonam 40 mg/ml
GlukÛza 5% 99
Kompatibilní
injekce Dacarbazine 4 mg/ml
injekce Doxorubicin hydrochloride liposome peg 0.4 mg/ml
GlukÛza 5% 251
Kompatibilní
injekce Dacarbazine 4 mg/ml
injekce Etoposide phosphate 5 mg/ml
GlukÛza 5% 1410
Kompatibilní
injekce Dacarbazine 4 mg/ml
injekce Filgrastim 30 µg/ml
GlukÛza 5% 244
Kompatibilní
injekce Dacarbazine 4 mg/ml
injekce Fludarabine phosphate 1 mg/ml
GlukÛza 5% 492
Kompatibilní
injekce Dacarbazine 1.7 mg/ml
injekce Granisetron hydrochloride 1 mg/ml
Chlorid sodný 0,9% 57
Nespecifikovaná nekompatibilita Nekompatibilní
injekce Dacarbazine
injekce Heparin sodium
3540
Okamžité srážení Nekompatibilní
injekce Dacarbazine 25 mg/ml
injekce Heparin sodium 100 UI/ml
Chlorid sodný 0,9% 860
Kompatibilní
injekce Dacarbazine 4 mg/ml
injekce Melphalan 0.1 mg/ml
Chlorid sodný 0,9% 169
Kompatibilní
injekce Dacarbazine 3 mg/ml
injekce Ondansetron hydrochloride 0,03 mg/ml
GlukÛza 5% 184
Kompatibilní
injekce Dacarbazine
GlukÛza 5% 3605
Nespecifikovaná nekompatibilita Nekompatibilní
injekce Dacarbazine
injekce Heparin sodium
3267
Nespecifikovaná nekompatibilita Nekompatibilní
injekce Dacarbazine
injekce Heparin sodium
3605
Nespecifikovaná nekompatibilita Nekompatibilní
injekce Dacarbazine
injekce Hydrocortisone sodium succinate
3267
Nespecifikovaná nekompatibilita Nekompatibilní
injekce Dacarbazine
injekce Hydrocortisone sodium succinate
3605
Kompatibilní
injekce Dacarbazine 1 mg/ml
injekce Ondansetron hydrochloride 0,03 mg/ml
GlukÛza 5% 184
Kompatibilní
injekce Dacarbazine 3 mg/ml
injekce Ondansetron hydrochloride 0,3 mg/ml
GlukÛza 5% 184
Kompatibilní
injekce Dacarbazine 1 mg/ml
injekce Ondansetron hydrochloride 0,3 mg/ml
GlukÛza 5% 184
Okamžité srážení Nekompatibilní
injekce Dacarbazine 4 mg/ml
injekce Piperacillin sodium / tazobactam 40/5 mg/ml
GlukÛza 5% 81
Kompatibilní
injekce Dacarbazine
Chlorid sodný 0,9% 3605
Kompatibilní
injekce Dacarbazine 4 mg/ml
injekce Ondansetron hydrochloride 1 mg/ml
Chlorid sodný 0,9% 334
Kompatibilní
injekce Dacarbazine 4 mg/ml
injekce Paclitaxel 1.2 mg/ml
GlukÛza 5% 248
Kompatibilní
injekce Dacarbazine 4 mg/ml
injekce Palonosetron hydrochloride 50 µg/ml
GlukÛza 5% 2107
Kompatibilní
injekce Dacarbazine 4 mg/ml
injekce Sargramostim 10 µg/ml
Chlorid sodný 0,9% 335
Nespecifikovaná nekompatibilita Nekompatibilní
injekce Dacarbazine
injekce Sodium bicarbonate
3605
Nespecifikovaná nekompatibilita Nekompatibilní
injekce Dacarbazine
injekce Sodium bicarbonate
3267
Kompatibilní
injekce Dacarbazine 4 mg/ml
injekce Teniposide 0.1 mg/ml
GlukÛza 5% 905
Kompatibilní
injekce Dacarbazine 4 mg/ml
injekce Thiotepa 1 mg/ml
GlukÛza 5% 249
Kompatibilní
injekce Dacarbazine 4 mg/ml
injekce Vinorelbine tartrate 1 mg/ml
Chlorid sodný 0,9% 84
Nespecifikovaná nekompatibilita Nekompatibilní
injekce Dacarbazine
NaHCO3 3605

  Mentions Légales