Last update :
27/04/2026
Anticancer drug   Dacarbazine  
injection
Stability in solutions Stability of mixtures Factors which affect stability Compatibility Route of administration References pdf
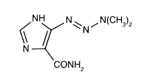
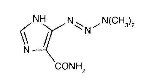
   Chemical structure  

Tradename   Tradename     

Trade names are indicative and excipients composition can be different depending on the country and manufacturers

Acocarb Mexico
Celdaz India, Peru
Dabaz Brazil, India
Dacarba India
Dacarbazin Austria, Hungary, Malaysia, Poland
Dacarbazina Argentina, Brazil, Chile, Colombia, Ecuador, Italy, Mexico, Peru, Spain
Dacarbazine Australia, Belgium, Canada, Denmark, Great Britain, India, Iran, Ireland, New Zealand, Sweden, United States of America
Dacarex India
Dacarin India
Dacarpalm Peru
Dacarzine India
Dacin Slovenia, Switzerland
Dacmed India
Daracina Colombia
Deticene France, Greece, Netherlands, Portugal, Saudi Arabia
Detimedac Colombia, Germany, Romania, Tunisia
DTIC Austria, New Zealand, United States of America
Fauldetic Portugal
Oncocarbil Argentina, Ecuador, Peru
Tiferomed Mexico
Compatibility   injection   Compatibility : Dacarbazine              
This screen indicates the compatibilities or incompatibilities with, in this case, the type of incompatibility (precipitation, color change, modification of an emulsion, etc.). The compatibilities shown here are mostly physical only, with the chemical stability of each molecule rarely being assessed. The evaluation of these mixtures was studied to consider the possibility of Y-site administration to the patient. These data cannot be used for making mixtures in advance in bags or syringes. This type of information is available in the screen "Stability in mixture ».
Compound Solvent References
Precipitation after 1 hour Incompatible
injection Dacarbazine 4 mg/ml
injection Allopurinol sodium 3 mg/ml
Sodium chloride 0,9% 307
Compatible
injection Dacarbazine 4 mg/ml
injection Amifostine 10 mg/ml
Glucose 5% 3
Compatible
injection Dacarbazine 4 mg/ml
injection Aztreonam 40 mg/ml
Glucose 5% 99
Compatible
injection Dacarbazine 4 mg/ml
injection Doxorubicin hydrochloride liposome peg 0.4 mg/ml
Glucose 5% 251
Compatible
injection Dacarbazine 4 mg/ml
injection Etoposide phosphate 5 mg/ml
Glucose 5% 1410
Compatible
injection Dacarbazine 4 mg/ml
injection Filgrastim 30 µg/ml
Glucose 5% 244
Compatible
injection Dacarbazine 4 mg/ml
injection Fludarabine phosphate 1 mg/ml
Glucose 5% 492
Compatible
injection Dacarbazine 1.7 mg/ml
injection Granisetron hydrochloride 1 mg/ml
Sodium chloride 0,9% 57
Unspecified incompatibility Incompatible
injection Dacarbazine
injection Heparin sodium
3540
Immediate precipitation Incompatible
injection Dacarbazine 25 mg/ml
injection Heparin sodium 100 UI/ml
Sodium chloride 0,9% 860
Compatible
injection Dacarbazine 4 mg/ml
injection Melphalan 0.1 mg/ml
Sodium chloride 0,9% 169
Compatible
injection Dacarbazine 3 mg/ml
injection Ondansetron hydrochloride 0,03 mg/ml
Glucose 5% 184
Compatible
injection Dacarbazine
Glucose 5% 3605
Unspecified incompatibility Incompatible
injection Dacarbazine
injection Heparin sodium
3267
Unspecified incompatibility Incompatible
injection Dacarbazine
injection Heparin sodium
3605
Unspecified incompatibility Incompatible
injection Dacarbazine
injection Hydrocortisone sodium succinate
3267
Unspecified incompatibility Incompatible
injection Dacarbazine
injection Hydrocortisone sodium succinate
3605
Compatible
injection Dacarbazine 1 mg/ml
injection Ondansetron hydrochloride 0,03 mg/ml
Glucose 5% 184
Compatible
injection Dacarbazine 3 mg/ml
injection Ondansetron hydrochloride 0,3 mg/ml
Glucose 5% 184
Compatible
injection Dacarbazine 1 mg/ml
injection Ondansetron hydrochloride 0,3 mg/ml
Glucose 5% 184
Immediate precipitation Incompatible
injection Dacarbazine 4 mg/ml
injection Piperacillin sodium / tazobactam 40/5 mg/ml
Glucose 5% 81
Compatible
injection Dacarbazine
Sodium chloride 0,9% 3605
Compatible
injection Dacarbazine 4 mg/ml
injection Ondansetron hydrochloride 1 mg/ml
Sodium chloride 0,9% 334
Compatible
injection Dacarbazine 4 mg/ml
injection Paclitaxel 1.2 mg/ml
Glucose 5% 248
Compatible
injection Dacarbazine 4 mg/ml
injection Palonosetron hydrochloride 50 µg/ml
Glucose 5% 2107
Compatible
injection Dacarbazine 4 mg/ml
injection Sargramostim 10 µg/ml
Sodium chloride 0,9% 335
Unspecified incompatibility Incompatible
injection Dacarbazine
injection Sodium bicarbonate
3605
Unspecified incompatibility Incompatible
injection Dacarbazine
injection Sodium bicarbonate
3267
Compatible
injection Dacarbazine 4 mg/ml
injection Teniposide 0.1 mg/ml
Glucose 5% 905
Compatible
injection Dacarbazine 4 mg/ml
injection Thiotepa 1 mg/ml
Glucose 5% 249
Compatible
injection Dacarbazine 4 mg/ml
injection Vinorelbine tartrate 1 mg/ml
Sodium chloride 0,9% 84
Unspecified incompatibility Incompatible
injection Dacarbazine
NaHCO3 3605

  Mentions Légales