Ultimo aggiornamento :
27/04/2026
farmaco contro il cancro   Dacarbazine  
Iniezione
Stabilità in soluzione Stabilità in miscela Fattori che influenzano la stabilità Compatibilità metodo di iniezione Bibliografia pdf
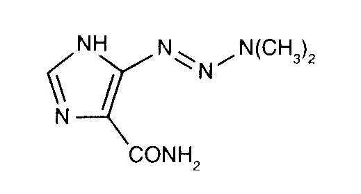
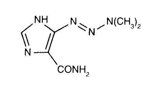
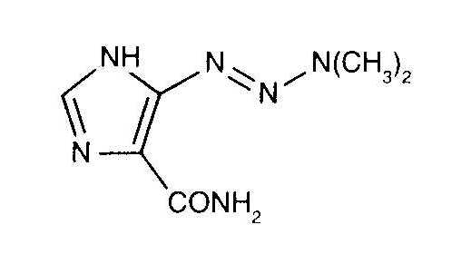
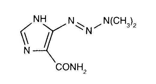
   Struttura chimica  

Nome commerciale   Nome commerciale     

Trade names are indicative and excipients composition can be different depending on the country and manufacturers

Acocarb Messico
Celdaz India, Perù
Dabaz Brasile, India
Dacarba India
Dacarbazin Austria, Malaysia, Polonia, Ungheria
Dacarbazina Argentina, Brasile, Chile, Colombia, Ecuador, Italia, Messico, Perù, Spagna
Dacarbazine Australia, Belgio, Canada, Danimarca, Gran Bretagna, India, Iran, Irlanda, nuova Zelanda, Stati Uniti d’America, Svezia
Dacarex India
Dacarin India
Dacarpalm Perù
Dacarzine India
Dacin Slovenia, Svizzera
Dacmed India
Daracina Colombia
Deticene Arabia Saudita, Francia, Grecia, Paesi Bassi, Portogallo
Detimedac Colombia, Germania, Romania, Tunisia
DTIC Austria, nuova Zelanda, Stati Uniti d’America
Fauldetic Portogallo
Oncocarbil Argentina, Ecuador, Perù
Tiferomed Messico
Compatibilità   Iniezione   Compatibilità : Dacarbazine              
explication_incompatibilite_molecules
Molecola Solvente Bibliografia
Precipitazioni dopo 1 ora Incompatibile
Iniezione Dacarbazine 4 mg/ml
Iniezione Allopurinol sodium 3 mg/ml
Cloruro di sodio 0,9% 307
Compatibile
Iniezione Dacarbazine 4 mg/ml
Iniezione Amifostine 10 mg/ml
Glucosio 5% 3
Compatibile
Iniezione Dacarbazine 4 mg/ml
Iniezione Aztreonam 40 mg/ml
Glucosio 5% 99
Compatibile
Iniezione Dacarbazine 4 mg/ml
Iniezione Doxorubicin hydrochloride liposome peg 0.4 mg/ml
Glucosio 5% 251
Compatibile
Iniezione Dacarbazine 4 mg/ml
Iniezione Etoposide phosphate 5 mg/ml
Glucosio 5% 1410
Compatibile
Iniezione Dacarbazine 4 mg/ml
Iniezione Filgrastim 30 µg/ml
Glucosio 5% 244
Compatibile
Iniezione Dacarbazine 4 mg/ml
Iniezione Fludarabine phosphate 1 mg/ml
Glucosio 5% 492
Compatibile
Iniezione Dacarbazine 1.7 mg/ml
Iniezione Granisetron hydrochloride 1 mg/ml
Cloruro di sodio 0,9% 57
Incompatibilità non specificata Incompatibile
Iniezione Dacarbazine
Iniezione Heparin sodium
3540
Precipitazioni immediate Incompatibile
Iniezione Dacarbazine 25 mg/ml
Iniezione Heparin sodium 100 UI/ml
Cloruro di sodio 0,9% 860
Compatibile
Iniezione Dacarbazine 4 mg/ml
Iniezione Melphalan 0.1 mg/ml
Cloruro di sodio 0,9% 169
Compatibile
Iniezione Dacarbazine 3 mg/ml
Iniezione Ondansetron hydrochloride 0,03 mg/ml
Glucosio 5% 184
Compatibile
Iniezione Dacarbazine
Glucosio 5% 3605
Incompatibilità non specificata Incompatibile
Iniezione Dacarbazine
Iniezione Heparin sodium
3267
Incompatibilità non specificata Incompatibile
Iniezione Dacarbazine
Iniezione Heparin sodium
3605
Incompatibilità non specificata Incompatibile
Iniezione Dacarbazine
Iniezione Hydrocortisone sodium succinate
3267
Incompatibilità non specificata Incompatibile
Iniezione Dacarbazine
Iniezione Hydrocortisone sodium succinate
3605
Compatibile
Iniezione Dacarbazine 1 mg/ml
Iniezione Ondansetron hydrochloride 0,03 mg/ml
Glucosio 5% 184
Compatibile
Iniezione Dacarbazine 3 mg/ml
Iniezione Ondansetron hydrochloride 0,3 mg/ml
Glucosio 5% 184
Compatibile
Iniezione Dacarbazine 1 mg/ml
Iniezione Ondansetron hydrochloride 0,3 mg/ml
Glucosio 5% 184
Precipitazioni immediate Incompatibile
Iniezione Dacarbazine 4 mg/ml
Iniezione Piperacillin sodium / tazobactam 40/5 mg/ml
Glucosio 5% 81
Compatibile
Iniezione Dacarbazine
Cloruro di sodio 0,9% 3605
Compatibile
Iniezione Dacarbazine 4 mg/ml
Iniezione Ondansetron hydrochloride 1 mg/ml
Cloruro di sodio 0,9% 334
Compatibile
Iniezione Dacarbazine 4 mg/ml
Iniezione Paclitaxel 1.2 mg/ml
Glucosio 5% 248
Compatibile
Iniezione Dacarbazine 4 mg/ml
Iniezione Palonosetron hydrochloride 50 µg/ml
Glucosio 5% 2107
Compatibile
Iniezione Dacarbazine 4 mg/ml
Iniezione Sargramostim 10 µg/ml
Cloruro di sodio 0,9% 335
Incompatibilità non specificata Incompatibile
Iniezione Dacarbazine
Iniezione Sodium bicarbonate
3605
Incompatibilità non specificata Incompatibile
Iniezione Dacarbazine
Iniezione Sodium bicarbonate
3267
Compatibile
Iniezione Dacarbazine 4 mg/ml
Iniezione Teniposide 0.1 mg/ml
Glucosio 5% 905
Compatibile
Iniezione Dacarbazine 4 mg/ml
Iniezione Thiotepa 1 mg/ml
Glucosio 5% 249
Compatibile
Iniezione Dacarbazine 4 mg/ml
Iniezione Vinorelbine tartrate 1 mg/ml
Cloruro di sodio 0,9% 84
Incompatibilità non specificata Incompatibile
Iniezione Dacarbazine
NaHCO3 3605

  Mentions Légales