Dernière mise à jour :
27/11/2025
Anticancéreux   Dacarbazine  
injectable
Stabilité des solutions Stabilité en mélange Facteur influençant la stabilité Compatibilités Voie d’administration Bibliographie pdf
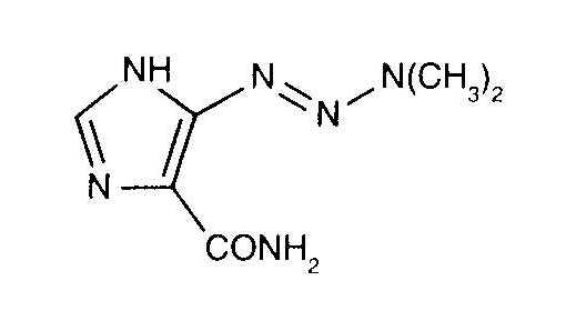
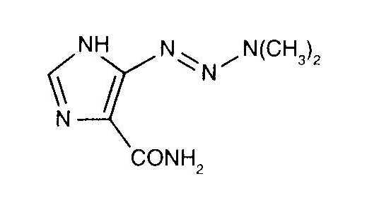
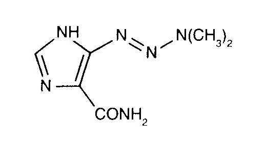
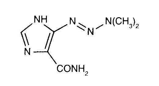
   Structure chimique  

Noms commerciaux   Noms commerciaux     

Les noms commerciaux sont donnés à titre indicatif et la composition en excipients peut être différente selon les pays et selon les laboratoires

Acocarb Mexique
Celdaz Inde, Pérou
Dabaz Brésil, Inde
Dacarba Inde
Dacarbazin Autriche, Hongrie, Malaisie, Pologne
Dacarbazina Argentine, Brésil, Chili, Colombie, Equateur, Espagne, Italie, Mexique, Pérou
Dacarbazine Australie, Belgique, Canada, Danemark, Etats Unis d’Amérique, Grande Bretagne, Inde, Iran, Irlande, Nouvelle Zélande, Suède
Dacarex Inde
Dacarin Inde
Dacarpalm Pérou
Dacarzine Inde
Dacin Slovénie, Suisse
Dacmed Inde
Daracina Colombie
Deticene Arabie Saoudite, France, Grèce, Pays bas, Portugal
Detimedac Allemagne, Colombie, Roumanie, Tunisie
DTIC Autriche, Etats Unis d’Amérique, Nouvelle Zélande
Fauldetic Portugal
Oncocarbil Argentine, Equateur, Pérou
Tiferomed Mexique
Compatibilités   injectable   Compatibilités : Dacarbazine              
Cet écran indique les compatibilités ou incompatibilités avec, dans ce cas, le type d'incompatibilité (précipitation, changement de couleur, modification d'une émulsion, etc.). Les compatibilités présentées ici sont pour la plupart uniquement physiques, la stabilité chimique de chaque molécule étant rarement évaluée. L'évaluation de ces mélanges a été étudiée pour envisager la possibilité d'une administration en site Y au patient. Ces données ne peuvent pas être utilisées pour préparer des mélanges à l'avance dans des poches de perfusion ou des seringues. Ce type d'informations est disponible dans l'écran « Stabilité en mélange ».
Molécule Solvant Bibliographie
Précipitation en 1 heure Incompatible
injectable Dacarbazine 4 mg/ml
injectable Allopurinol sodium 3 mg/ml
Chlorure de sodium 0,9% 307
Compatible
injectable Dacarbazine 4 mg/ml
injectable Amifostine 10 mg/ml
Glucose 5% 3
Compatible
injectable Dacarbazine 4 mg/ml
injectable Aztreonam 40 mg/ml
Glucose 5% 99
Compatible
injectable Dacarbazine 4 mg/ml
injectable Doxorubicin hydrochloride liposome peg 0.4 mg/ml
Glucose 5% 251
Compatible
injectable Dacarbazine 4 mg/ml
injectable Etoposide phosphate 5 mg/ml
Glucose 5% 1410
Compatible
injectable Dacarbazine 4 mg/ml
injectable Filgrastim 30 µg/ml
Glucose 5% 244
Compatible
injectable Dacarbazine 4 mg/ml
injectable Fludarabine phosphate 1 mg/ml
Glucose 5% 492
Compatible
injectable Dacarbazine 1.7 mg/ml
injectable Granisetron hydrochloride 1 mg/ml
Chlorure de sodium 0,9% 57
Incompatibilité non précisée Incompatible
injectable Dacarbazine
injectable Heparin sodium
3540
Précipitation immédiate Incompatible
injectable Dacarbazine 25 mg/ml
injectable Heparin sodium 100 UI/ml
Chlorure de sodium 0,9% 860
Compatible
injectable Dacarbazine 4 mg/ml
injectable Melphalan 0.1 mg/ml
Chlorure de sodium 0,9% 169
Compatible
injectable Dacarbazine 3 mg/ml
injectable Ondansetron hydrochloride 0,03 mg/ml
Glucose 5% 184
Compatible
injectable Dacarbazine
Glucose 5% 3605
Incompatibilité non précisée Incompatible
injectable Dacarbazine
injectable Heparin sodium
3267
Incompatibilité non précisée Incompatible
injectable Dacarbazine
injectable Heparin sodium
3605
Incompatibilité non précisée Incompatible
injectable Dacarbazine
injectable Hydrocortisone sodium succinate
3267
Incompatibilité non précisée Incompatible
injectable Dacarbazine
injectable Hydrocortisone sodium succinate
3605
Compatible
injectable Dacarbazine 1 mg/ml
injectable Ondansetron hydrochloride 0,03 mg/ml
Glucose 5% 184
Compatible
injectable Dacarbazine 3 mg/ml
injectable Ondansetron hydrochloride 0,3 mg/ml
Glucose 5% 184
Compatible
injectable Dacarbazine 1 mg/ml
injectable Ondansetron hydrochloride 0,3 mg/ml
Glucose 5% 184
Précipitation immédiate Incompatible
injectable Dacarbazine 4 mg/ml
injectable Piperacillin sodium / tazobactam 40/5 mg/ml
Glucose 5% 81
Compatible
injectable Dacarbazine
Chlorure de sodium 0,9% 3605
Compatible
injectable Dacarbazine 4 mg/ml
injectable Ondansetron hydrochloride 1 mg/ml
Chlorure de sodium 0,9% 334
Compatible
injectable Dacarbazine 4 mg/ml
injectable Paclitaxel 1.2 mg/ml
Glucose 5% 248
Compatible
injectable Dacarbazine 4 mg/ml
injectable Palonosetron hydrochloride 50 µg/ml
Glucose 5% 2107
Compatible
injectable Dacarbazine 4 mg/ml
injectable Sargramostim 10 µg/ml
Chlorure de sodium 0,9% 335
Incompatibilité non précisée Incompatible
injectable Dacarbazine
injectable Sodium bicarbonate
3605
Incompatibilité non précisée Incompatible
injectable Dacarbazine
injectable Sodium bicarbonate
3267
Compatible
injectable Dacarbazine 4 mg/ml
injectable Teniposide 0.1 mg/ml
Glucose 5% 905
Compatible
injectable Dacarbazine 4 mg/ml
injectable Thiotepa 1 mg/ml
Glucose 5% 249
Compatible
injectable Dacarbazine 4 mg/ml
injectable Vinorelbine tartrate 1 mg/ml
Chlorure de sodium 0,9% 84
Incompatibilité non précisée Incompatible
injectable Dacarbazine
NaHCO3 3605

  Mentions Légales