Останнє оновлення :
27/04/2026
протиепілептичний   Fosphenytoin sodium  
ін'єкція
Стійкість в розчинах Стійкість сумішей Фактори, що впливають на стабільність Сумісність Шлях введення Список літератури pdf
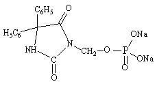
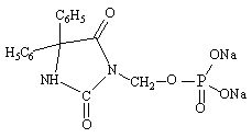
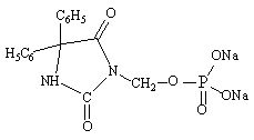
   Хімічна структура  

Торгова назва   Торгова назва     

Торгові назви є орієнтовними, а склад допоміжних речовин може бути різним залежно від країни та виробника

Cerebryx Канада, Сполучені Штати Америки
Fosphen Індія
Fostoin Японія
Pro - Epanutin Ірландія, Ісландія, Австрія, Великобританія, Данія, Люксембург, Нідерланди, Норвегія, Фінляндія, Швеція
Prodilantin Ірландія, Ісландія, Австрія, Греція, Данія, Нідерланди, Польща, Сполучені Штати Америки, Угорщина, Фінляндія, Франція, Японія
Sesquient Сполучені Штати Америки
Стійкість сумішей   ін'єкція   Стійкість сумішей : Fosphenytoin sodium     
Контейнер Розчинник Концентрація З'єднання температура Зберігання Тривалість стабільності Список літератури
скло Натрію хлорид 0,9% 5 mg/ml
ін'єкція   Fosphenytoin sodium   
ін'єкція   Lorazepam 1 mg/ml
25°C
8 годину
Не визначено 1419
скло Натрію хлорид 0,9% 5 mg/ml
ін'єкція   Fosphenytoin sodium   
ін'єкція   Phenobarbital sodium 65 mg/ml
25°C
8 годину
Не визначено 1412

  Mentions Légales