Ultimele actualizari :
27/04/2026
Antiepileptic   Fosphenytoin sodium  
Injectabil
Stabilitatea in solutie Stabilitatea in amestec Factorii care influenteaza stabilitatea Compatibilitate Microunde Bibliografie pdf
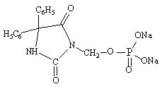
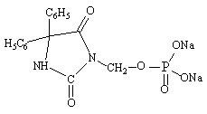
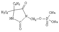
   Formula chimica  

Denumirea comerciala   Denumirea comerciala     

Trade names are indicative and excipients composition can be different depending on the country and manufacturers

Cerebryx Canada, SUA
Fosphen India
Fostoin Japonia
Pro - Epanutin Austria, Danemarca, Finlanda, Irlanda, Islanda, Luxemburg, Marea Britanie, Norvegia, Olanda, Suedia
Prodilantin Austria, Danemarca, Finlanda, Franta, Grecia, Irlanda, Islanda, Japonia, Olanda, Polonia, SUA, Ungaria
Sesquient SUA
Stabilitatea in amestec   Injectabil   Stabilitatea in amestec : Fosphenytoin sodium     
Continut Solvent Concentratie Molecula (substanta activa) Temperatura Conservare Durata stabilității Bibiografie
sticla clorura de sodiu 0,9% 5 mg/ml
Injectabil   Fosphenytoin sodium   
Injectabil   Lorazepam 1 mg/ml
25°C
8 Ora
Neprecizat 1419
sticla clorura de sodiu 0,9% 5 mg/ml
Injectabil   Fosphenytoin sodium   
Injectabil   Phenobarbital sodium 65 mg/ml
25°C
8 Ora
Neprecizat 1412

  Mentions Légales