Pēdējā atjaunošana :
27/04/2026
Antiepileptiķis   Fosphenytoin sodium  
Injekcija
Šķīduma stabilitāte Maisījuma stabilitāte Stabilitāti ietekmējoši faktori Saderība Levadīšanas veids Literatūras saraksts pdf
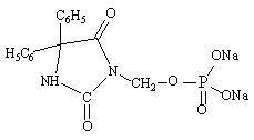
   Ķīmiskā uzbūve   

Oriģinālais nosaukums   Oriģinālais nosaukums     

Tirdzniecības nosaukumi ir apzīmējoši un palīgvielas var atšķirties dažādām valstīm un laboratorijām

Cerebryx Amerikas Savienotās Valstis, Kanāda
Fosphen Indija
Fostoin Japāna
Pro - Epanutin Austrija, Dānija, Holande, Īrija, Islande, Lielbritānija, Luksemburga, Norvēģija, Somija, Zviedrija
Prodilantin Amerikas Savienotās Valstis, Austrija, Dānija, Francija, Grieķija, Holande, Īrija, Islande, Japāna, Polija, Somija, Ungārija
Sesquient Amerikas Savienotās Valstis
Maisījuma stabilitāte   Injekcija   Maisījuma stabilitāte : Fosphenytoin sodium     
Iepakojums Šķīdinātājs Koncentrācija Savienojums Temperatūra Glabāšana Stabilitātes ilgums Literatūras saraksts
Stikls Nātrija hlorīds 0.9% 5 mg/ml
Injekcija   Fosphenytoin sodium   
Injekcija   Lorazepam 1 mg/ml
25°C
8 Stunda
Nav specifisks 1419
Stikls Nātrija hlorīds 0.9% 5 mg/ml
Injekcija   Fosphenytoin sodium   
Injekcija   Phenobarbital sodium 65 mg/ml
25°C
8 Stunda
Nav specifisks 1412

  Mentions Légales