Letztes “update” :
27/04/2026
Antiepileptikum   Fosphenytoin sodium  
Injektion
Stabilität der Lösung Gemengestabilität Stabilitätbeeinflussende Faktoren Kompatibilitäten Applikationsart Literaturverzeichnis pdf
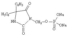
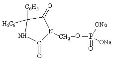
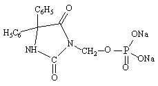
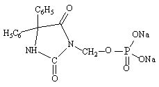
   Chemische Struktur  

Handelsmarke   Handelsmarke     

Handelsnamen sind als beispielhaft anzusehen. Sonstige Bestandteile können je nach Hersteller oder Land verschieden sein

Cerebryx Kanada, Vereinigte Staaten von Amerika
Fosphen Indien
Fostoin Japan
Pro - Epanutin Dänemark, Finnland, Großbritannien, Irland, Island, Luxemburg, Niederlande, Norwegen, Österreich, Schweden
Prodilantin Dänemark, Finnland, Frankreich, Griechenland, Irland, Island, Japan, Niederlande, Österreich, Polen, Ungarn, Vereinigte Staaten von Amerika
Sesquient Vereinigte Staaten von Amerika
Gemengestabilität   Injektion   Gemengestabilität : Fosphenytoin sodium     
Behälter Lösungsmittel Konzentration Molekül Temperatur Konservierung Dauer der Stabilität Literaturverzeichnis
Glas 0,9% Natriumchlorid 5 mg/ml
Injektion   Fosphenytoin sodium   
Injektion   Lorazepam 1 mg/ml
25°C
8 Stunde
Nicht genau angegeben 1419
Glas 0,9% Natriumchlorid 5 mg/ml
Injektion   Fosphenytoin sodium   
Injektion   Phenobarbital sodium 65 mg/ml
25°C
8 Stunde
Nicht genau angegeben 1412

  Mentions Légales