Senaste uppdateringen :
27/04/2026
Antiepileptikum   Fosphenytoin sodium  
injektion
Lösningars stabilitet Stabilitet i blandningar Faktorer som påverkar stabiliteten Kompatibilitet Administreringssätt Hänvisningar pdf
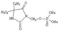
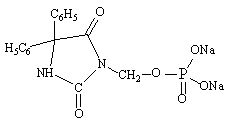
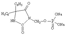
   Molekylstruktur  

Varunamn   Varunamn     

Angivna handelsnamn på läkemedel är enbart vägledande då formulering inklusive hjälpämnen kan variera mellan länder och tillverkare

Cerebryx Förenta Staterna, Kanada
Fosphen Indien
Fostoin Japan
Pro - Epanutin Danmark, Finland, Irland, Island, Luxemburg, Nederländerna, Norge, Österrike, Storbritannien, Sverige
Prodilantin Danmark, Finland, Förenta Staterna, Frankrike, Grekland, Irland, Island, Japan, Nederländerna, Österrike, Polen, Ungern
Sesquient Förenta Staterna
Stabilitet i blandningar   injektion   Stabilitet i blandningar : Fosphenytoin sodium     
Behållare Lösningsmedel Koncentration Substans Temperatur Förvaring Stabilitets varaktighet Hänvisningar
Glas Natriumklorid 0,9 % 5 mg/ml
injektion   Fosphenytoin sodium   
injektion   Lorazepam 1 mg/ml
25°C
8 Timma
Ej angiven 1419
Glas Natriumklorid 0,9 % 5 mg/ml
injektion   Fosphenytoin sodium   
injektion   Phenobarbital sodium 65 mg/ml
25°C
8 Timma
Ej angiven 1412

  Mentions Légales