Last update :
27/04/2026
Antiepileptic   Fosphenytoin sodium  
injection
Stability in solutions Stability of mixtures Factors which affect stability Compatibility Route of administration References pdf
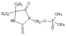
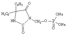
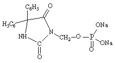
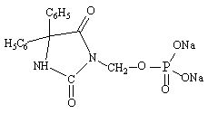
   Chemical structure  

Tradename   Tradename     

Trade names are indicative and excipients composition can be different depending on the country and manufacturers

Cerebryx Canada, United States of America
Fosphen India
Fostoin Japan
Pro - Epanutin Austria, Denmark, Finland, Great Britain, Iceland, Ireland, Luxembourg, Netherlands, Norway, Sweden
Prodilantin Austria, Denmark, Finland, France, Greece, Hungary, Iceland, Ireland, Japan, Netherlands, Poland, United States of America
Sesquient United States of America
Stability of mixtures   injection   Stability of mixtures : Fosphenytoin sodium     
Container Solvent Concentration Compound Temperature Storage Duration of stability References
Glass Sodium chloride 0,9% 5 mg/ml
injection   Fosphenytoin sodium   
injection   Lorazepam 1 mg/ml
25°C
8 Hour
Not specified 1419
Glass Sodium chloride 0,9% 5 mg/ml
injection   Fosphenytoin sodium   
injection   Phenobarbital sodium 65 mg/ml
25°C
8 Hour
Not specified 1412

  Mentions Légales