Последнее обновление :
27/04/2026
Противоэпилептическое средство   Fosphenytoin sodium  
Инъекция
Стабильность растворов Стабильность смесей Факторы, которые влияют на стабильность Совместимость Способы введения Библиография pdf
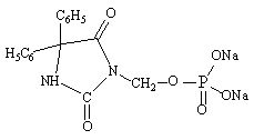
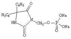
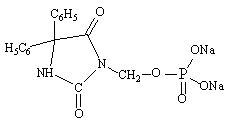
   Химическая структура  

Товарное название   Товарное название     

Trade names are indicative and excipients composition can be different depending on the country and manufacturers

Cerebryx Канада, Соединённые Штаты Америки
Fosphen Индия
Fostoin Япония
Pro - Epanutin Австрия, Великобритания, Голландия, Дания, Ирландия, Исландия, Люксембург, Норвегия, Финляндия, Швеция
Prodilantin Австрия, Венгрия, Голландия, Греция, Дания, Ирландия, Исландия, Польша, Соединённые Штаты Америки, Финляндия, Франция, Япония
Sesquient Соединённые Штаты Америки
Стабильность смесей   Инъекция   Стабильность смесей : Fosphenytoin sodium     
Упаковка Растворитель Концентрация Молекула Температура Хранение Продолжительность стабильности Ссылки
Стекло Натрия хлорид 0,9% 5 mg/ml
Инъекция   Fosphenytoin sodium   
Инъекция   Lorazepam 1 mg/ml
25°C
8 Час
Не указано 1419
Стекло Натрия хлорид 0,9% 5 mg/ml
Инъекция   Fosphenytoin sodium   
Инъекция   Phenobarbital sodium 65 mg/ml
25°C
8 Час
Не указано 1412

  Mentions Légales