zadnja posodobitev :
27/04/2026
Antiepileptik   Fosphenytoin sodium  
Brizgalka
Stabilnost raztopine Stabilnost mešanice Faktorji, ki vplivajo na stabilnost Kompatibilnost način aplikacije Viri pdf
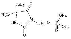
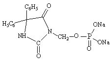
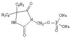
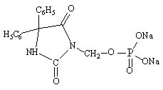
   Kemična formula  

Lastniško ime   Lastniško ime     

Sestava pomožnih snovi je med paralelami lahko različna

Cerebryx Kanada, Združene države Amerike
Fosphen Indija
Fostoin Japonska
Pro - Epanutin Avstrija, Danska, Finska, Irska, Islandija, Luksemburg, Nizozemska, Norveška, Švedska, Velika Britanija
Prodilantin Avstrija, Danska, Finska, Francija, Grčija, Irska, Islandija, Japonska, Madžarska, Nizozemska, Poljska, Združene države Amerike
Sesquient Združene države Amerike
Stabilnost mešanice   Brizgalka   Stabilnost mešanice : Fosphenytoin sodium     
Vsebnik Topilo Koncentracija Sestava Temperatura Shranjevanje Trajanje stabilnosti Viri
Steklo Natrijev klorid 0,9% 5 mg/ml
Brizgalka   Fosphenytoin sodium   
Brizgalka   Lorazepam 1 mg/ml
25°C
8 čas
Nedoločeno 1419
Steklo Natrijev klorid 0,9% 5 mg/ml
Brizgalka   Fosphenytoin sodium   
Brizgalka   Phenobarbital sodium 65 mg/ml
25°C
8 čas
Nedoločeno 1412

  Mentions Légales