Son güncelleme :
27/04/2026
Antiepileptik   Fosphenytoin sodium  
Enjeksiyon
Çözeltilerin stabilitesi Karışımlardaki stabilitesi Stabiliteyi etkileyen faktörler Uyumluluk Uygulama yöntemi Kaynaklar pdf
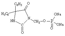
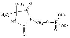
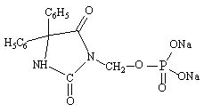
   Kimyasal yapı   

Ticari isim   Ticari isim     

Trade names are indicative and excipients composition can be different depending on the country and manufacturers

Cerebryx Amerika Birleşik Devletleri, Kanada
Fosphen Hindistan
Fostoin Japonya
Pro - Epanutin Avusturya, Büyük Britanya, Danimarka, Finlandiya, Hollanda, İrlanda, İsveç, İzlanda, Lüksemburg, Norveç
Prodilantin Amerika Birleşik Devletleri, Avusturya, Danimarka, Finlandiya, Fransa, Hollanda, İrlanda, İzlanda, Japonya, Macaristan, Polonya, Yunanistan
Sesquient Amerika Birleşik Devletleri
Karışımlardaki stabilitesi   Enjeksiyon    Karışımlardaki stabilitesi : Fosphenytoin sodium     
Saklama kabı Çözücü Konsantrasyon Bileşik Isı Saklama    Stabilite süresi Kaynaklar
Cam Sodyum klorür % 0,9 5 mg/ml
Enjeksiyon   Fosphenytoin sodium   
Enjeksiyon   Lorazepam 1 mg/ml
25°C
8 Zaman
Belirtilmemiş 1419
Cam Sodyum klorür % 0,9 5 mg/ml
Enjeksiyon   Fosphenytoin sodium   
Enjeksiyon   Phenobarbital sodium 65 mg/ml
25°C
8 Zaman
Belirtilmemiş 1412

  Mentions Légales