Dernière mise à jour :
27/04/2026
Antiépileptique   Fosphenytoin sodium  
injectable
Stabilité des solutions Stabilité en mélange Facteur influençant la stabilité Compatibilités Voie d’administration Bibliographie pdf
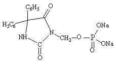
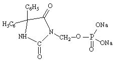
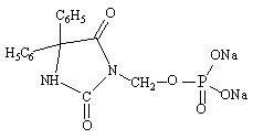
   Structure chimique  

Noms commerciaux   Noms commerciaux     

Les noms commerciaux sont donnés à titre indicatif et la composition en excipients peut être différente selon les pays et selon les laboratoires

Cerebryx Canada, Etats Unis d’Amérique
Fosphen Inde
Fostoin Japon
Pro - Epanutin Autriche, Danemark, Finlande, Grande Bretagne, Irlande, Islande, Luxembourg, Norvège, Pays bas, Suède
Prodilantin Autriche, Danemark, Etats Unis d’Amérique, Finlande, France, Grèce, Hongrie, Irlande, Islande, Japon, Pays bas, Pologne
Sesquient Etats Unis d’Amérique
Stabilité en mélange   injectable   Stabilité en mélange : Fosphenytoin sodium     
Contenant Solvant Concentration Molécule Température Conservation Durée de stabilité Bibliographie
Verre Chlorure de sodium 0,9% 5 mg/ml
injectable   Fosphenytoin sodium   
injectable   Lorazepam 1 mg/ml
25°C
8 Heure
Non précisée 1419
Verre Chlorure de sodium 0,9% 5 mg/ml
injectable   Fosphenytoin sodium   
injectable   Phenobarbital sodium 65 mg/ml
25°C
8 Heure
Non précisée 1412

  Mentions Légales