最新更新 :
27/04/2026
抗てんかん薬   Fosphenytoin sodium  
注射薬
溶媒内の安定性 混合時の安定性 安定性に影響する因子 互換性 投与経路 引用文献 PDF
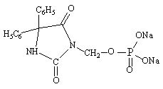
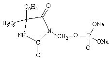
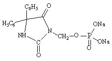
   化学構造  

商品名   商品名     

商品名、賦形剤は国、製薬会社ごとに異なることがあります

Cerebryx アメリカ, カナダ
Fosphen インド
Fostoin 日本
Pro - Epanutin アイスランド, アイルランド, イギリス, オランダ, オーストリア, スウェーデン, デンマーク, ノルウェー, フィンランド, ルクセンブルグ
Prodilantin アイスランド, アイルランド, アメリカ, オランダ, オーストリア, ギリシア, デンマーク, ハンガリー, フィンランド, フランス, ポーランド, 日本
Sesquient アメリカ
混合時の安定性   注射薬   混合時の安定性 : Fosphenytoin sodium     
容器 溶媒 濃度 化合物 温度 保管 安定期間 引用文献
ガラス NaCl 0,9% 5 mg/ml
注射薬   Fosphenytoin sodium   
注射薬   Lorazepam 1 mg/ml
25°C
8 時間
特記なし 1419
ガラス NaCl 0,9% 5 mg/ml
注射薬   Fosphenytoin sodium   
注射薬   Phenobarbital sodium 65 mg/ml
25°C
8 時間
特記なし 1412

  Mentions Légales