Posledná aktualizácia :
27/04/2026
antiepileptikum   Fosphenytoin sodium  
Injekcia
Stabilita roztokov Stabilita v zmesiach Faktory ovplyvňujúce stabilitu Kompatibility spôsob podania Odkazy na literatúru PDF
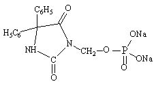
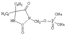
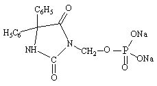
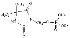
   Chemický vzorec  

Obchodný názov   Obchodný názov     

Obchodné názvy sú orientačné, a zloženie pomocných látok sa môže líšiť v závislosti od krajiny a výrobcu.

Cerebryx Kanada, Spojené štáty Americké
Fosphen India
Fostoin Japonsko
Pro - Epanutin Dánsko, Fínsko, Holandsko, Írsko, Island, Luxembursko, Nórsko, Rakúsko, Švédsko, Veľká Británia
Prodilantin Dánsko, Fínsko, Francúzsko, Grécko, Holandsko, Írsko, Island, Japonsko, Maďarsko, Poľsko, Rakúsko, Spojené štáty Americké
Sesquient Spojené štáty Americké
Stabilita v zmesiach   Injekcia   Stabilita v zmesiach : Fosphenytoin sodium     
obal rozpúšťadlo koncentrácia Zlúčenina teplota uchovávanie Trvanie stability odkazy na lieteratúru
Sklo 0,9% chlorid sodný 5 mg/ml
Injekcia   Fosphenytoin sodium   
Injekcia   Lorazepam 1 mg/ml
25°C
8 hodín
nešpecifikované 1419
Sklo 0,9% chlorid sodný 5 mg/ml
Injekcia   Fosphenytoin sodium   
Injekcia   Phenobarbital sodium 65 mg/ml
25°C
8 hodín
nešpecifikované 1412

  Mentions Légales