Poslední aktualizace :
27/04/2026
Antiepileptikum   Fosphenytoin sodium  
injekce
Stabilita roztoků Stabilita směsí Faktory ovlivňující stabilitu Kompatibilita Způsoby aplikace Odkazy pdf
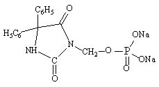
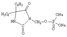
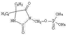
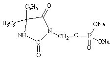
   Chemický vzorec  

Obchodní název   Obchodní název     

Trade names are indicative and excipients composition can be different depending on the country and manufacturers

Cerebryx Kanada, USA
Fosphen Indie
Fostoin Japonsko
Pro - Epanutin Dánsko, Finsko, Irsko, Island, Lucembursko, Nizozemsko, Norsko, Rakousko, Švédsko, Velká Británie
Prodilantin Dánsko, Finsko, Francie, Irsko, Island, Japonsko, MaÔarsko, Nizozemsko, Polsko, Rakousko, USA, ÿecko
Sesquient USA
Stabilita směsí   injekce   Stabilita směsí : Fosphenytoin sodium     
Obal RozpouötÏdlo Koncentrace SlouËenina Teplota Uchovávání Trvání stability Odkazy
Sklo Chlorid sodný 0,9% 5 mg/ml
injekce   Fosphenytoin sodium   
injekce   Lorazepam 1 mg/ml
25°C
8 Hodina
Nespecifikováno 1419
Sklo Chlorid sodný 0,9% 5 mg/ml
injekce   Fosphenytoin sodium   
injekce   Phenobarbital sodium 65 mg/ml
25°C
8 Hodina
Nespecifikováno 1412

  Mentions Légales