Poslední aktualizace :
27/04/2026
Priešepilepsinis vaistas   Fosphenytoin sodium  
Įpurškimas
Tirpalų stabilumas Mišinių stabilumas Stabilumą lemiantys veiksniai Suderinamumas Leidimo būdai Bibliografija pdf
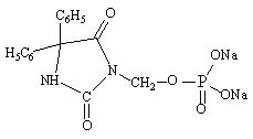
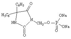
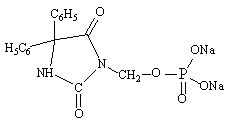
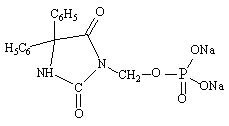
   Cheminė sandara  

Prekinis pavadinimas   Prekinis pavadinimas     

Trade names are indicative and excipients composition can be different depending on the country and manufacturers

Cerebryx Jungtinės Amerikos Valstijos, Kanada
Fosphen Indija
Fostoin Japonija
Pro - Epanutin Airija, Austrija, Danija, Didžioji Britanija, Islandija, Liuksemburgas, Norvegija, Olandija, Suomija, Švedija
Prodilantin Airija, Austrija, Danija, Graikija, Islandija, Japonija, Jungtinės Amerikos Valstijos, Lenkija, Olandija, Prancūzija, Suomija, Vengrija
Sesquient Jungtinės Amerikos Valstijos
Mišinių stabilumas   Įpurškimas   Mišinių stabilumas : Fosphenytoin sodium     
Pakuotė Tirpiklis Koncentracija Molekulė Temperatūra Laikymas Stabilumo trukmė Nuorodos
Stiklas Natrio chloridas 0,9% 5 mg/ml
Įpurškimas   Fosphenytoin sodium   
Įpurškimas   Lorazepam 1 mg/ml
25°C
8 Valanda
Nenurodyta 1419
Stiklas Natrio chloridas 0,9% 5 mg/ml
Įpurškimas   Fosphenytoin sodium   
Įpurškimas   Phenobarbital sodium 65 mg/ml
25°C
8 Valanda
Nenurodyta 1412

  Mentions Légales