آخر تحديث :
27/04/2026
المضادة للصرع   Fosphenytoin sodium  
حقن
الاستقرار في حلول استقرار مخاليط العوامل التي تؤثر على الاستقرار التوافق طريقة التعاطي مراجع pdf
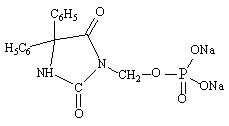
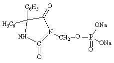
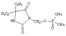
   التركيب الكيميائي  

حجز الاسم التجاري   حجز الاسم التجاري     

تحذير الأسماء التجاريه المختلفه قد تحتوي علي محتوي إضافات مختلفة حسب الدوله و المعمل

Cerebryx الولايات المتحدة, كندا
Fosphen الهند
Fostoin اليابان
Pro - Epanutin أيسلندا, الدنمارك, السويد, النرويج, النمسا, ايرلندا, بريطانيا العظمي, فنلندا, لوكسمبورغ, هولندا
Prodilantin أيسلندا, الدنمارك, النمسا, الولايات المتحدة, اليابان, ايرلندا, بولندا, فرنسا, فنلندا, هنغاريا, هولندا, يونان
Sesquient الولايات المتحدة
استقرار مخاليط   حقن   استقرار مخاليط : Fosphenytoin sodium     
حاوية مذيب تركيز مركب درجة الحرارة تخزين مدة الاستقرار مراجع
زجاج كلوريد الصوديوم 0.9% 5 mg/ml
حقن   Fosphenytoin sodium   
حقن   Lorazepam 1 mg/ml
25°C
8 ساعة
لم يتم تحديد 1419
زجاج كلوريد الصوديوم 0.9% 5 mg/ml
حقن   Fosphenytoin sodium   
حقن   Phenobarbital sodium 65 mg/ml
25°C
8 ساعة
لم يتم تحديد 1412

  Mentions Légales