Ostatnia aktualizacja :
27/04/2026
środek przeciwpadaczkowy   Fosphenytoin sodium  
Injekcje
Trwałość roztworów Trwałość w mieszaninie Czynnik wpływający na trwałość Zgodność Sposób podania Bibliografia pdf
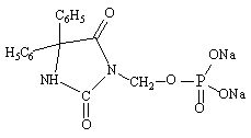
   Struktura chemiczna  

Nazwa handlowa   Nazwa handlowa     

Trade names are indicative and excipients composition can be different depending on the country and manufacturers

Cerebryx Kanada, Stany Zjednoczone Ameryki
Fosphen Indie
Fostoin Japonia
Pro - Epanutin Austria, Dania, Finlandia, Holandia, Irlandia, Islandia, Luksemburg, Norwegia, Szwecja, Wielka Brytania
Prodilantin Austria, Dania, Finlandia, Francja , Grecja, Holandia, Irlandia, Islandia, Japonia, Polska, Stany Zjednoczone Ameryki, Węgry
Sesquient Stany Zjednoczone Ameryki
Trwałość w mieszaninie   Injekcje   Trwałość w mieszaninie : Fosphenytoin sodium     
Pojemnik Rozpuszczalnik Stężenie Związek Temperatura Przechowywanie Czas trwania stabilności Bibliografia
Szkło Chlorek sodu 0,9% 5 mg/ml
Injekcje   Fosphenytoin sodium   
Injekcje   Lorazepam 1 mg/ml
25°C
8 Godzina
Nie wyszczególniony 1419
Szkło Chlorek sodu 0,9% 5 mg/ml
Injekcje   Fosphenytoin sodium   
Injekcje   Phenobarbital sodium 65 mg/ml
25°C
8 Godzina
Nie wyszczególniony 1412

  Mentions Légales