Останнє оновлення :
27/04/2026
Протигрибковий   Amphotericin B liposomale  
ін'єкція
Очні краплі
Стійкість в розчинах Стійкість сумішей Фактори, що впливають на стабільність Сумісність Шлях введення Список літератури pdf
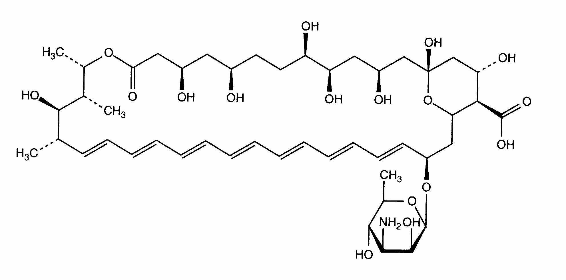
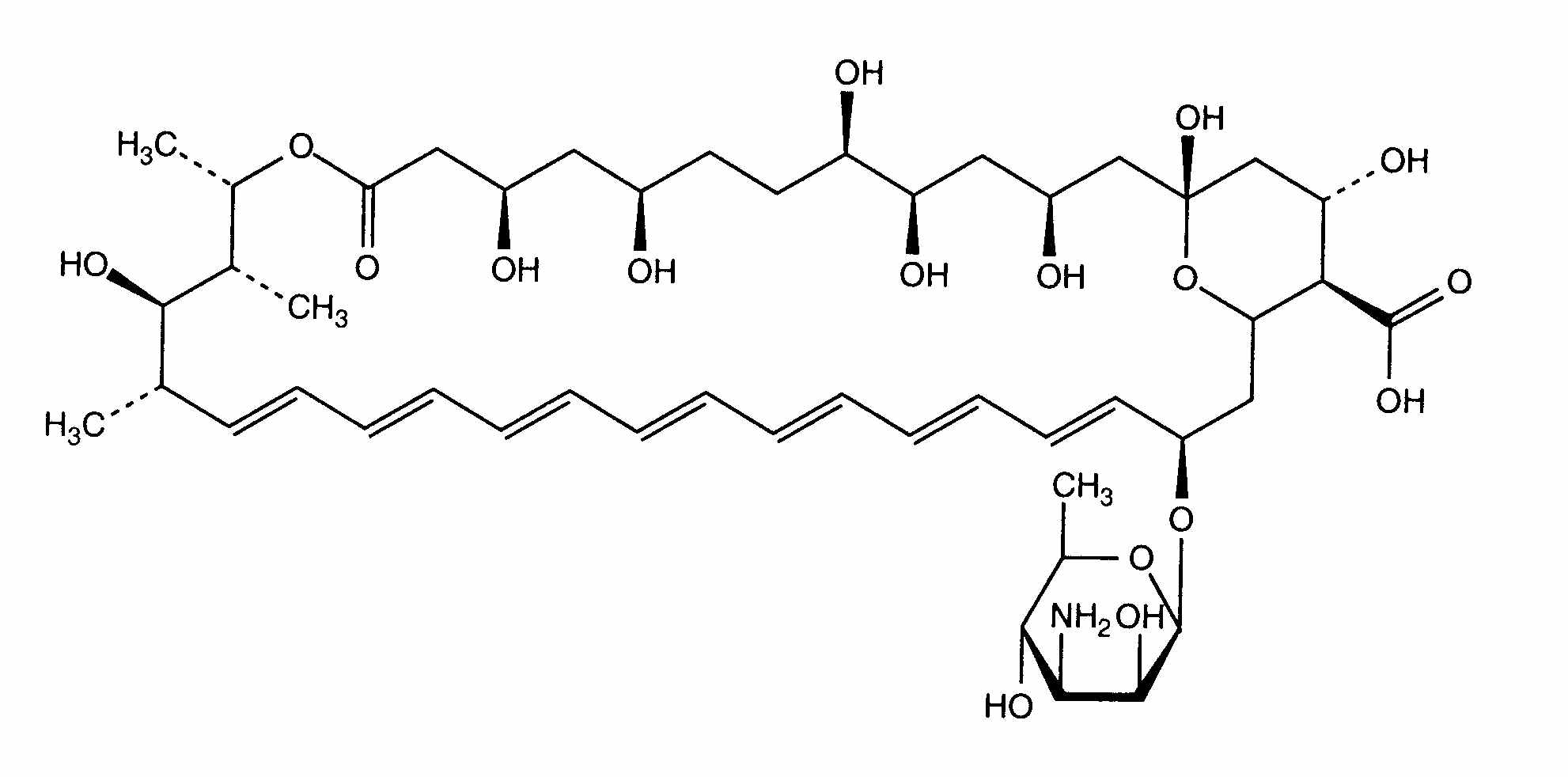
Ліпосома   Хімічна структура  

Торгова назва   Торгова назва     

Торгові назви є орієнтовними, а склад допоміжних речовин може бути різним залежно від країни та виробника

Ambisome Єгипет, Індія, Ірландія, Ісландія, Іспанія, Італія, Австрія, Аргентина, Бельгія, Бразилія, Великобританія, Греція, Данія, Канада, Люксембург, Нідерланди, Німеччина, Нова Зеландія, Норвегія, Об'єднані Арабські Емірати, Перу, Польща, Португалія, Саудівська Аравія, Сполучені Штати Америки, Таїланд, Туреччина, Угорщина, Фінляндія, Франція, Чилі, Швейцарія, Швеція, Японія
Сумісність   ін'єкція   Сумісність : Amphotericin B liposomale              
explication_incompatibilite_molecules
З'єднання Розчинник Список літератури
Миттєві опади Несумісні
ін'єкція Amphotericin B liposomale
Вода для ін'єкцій + антибактеріальний засіб 3398
сумісний
ін'єкція Amphotericin B liposomale 2 mg/ml
ін'єкція Amoxicillin sodium / clavulanic acid 100/10 mg/ml
3824
сумісний
ін'єкція Amphotericin B liposomale 4 mg/ml
ін'єкція Caffeine 10 mg/ml
Жодного 3964
Негайне помутніння Несумісні
ін'єкція Amphotericin B liposomale 2 mg/ml
ін'єкція Caffeine citrate 20 mg/ml
4837
Неуточнена несумісність Несумісні
ін'єкція Amphotericin B liposomale
ін'єкція Calcium gluconate
3644
Несумісні
ін'єкція Amphotericin B liposomale
ін'єкція Calcium gluconate
4964
сумісний
ін'єкція Amphotericin B liposomale 4 mg/ml
Розчин лактату Рінгера 4603
сумісний
ін'єкція Amphotericin B liposomale
Глюкоза 5% 3398
сумісний
ін'єкція Amphotericin B liposomale 1 mg/ml
ін'єкція Anidulafungin 0.5 mg/ml
Глюкоза 5% 1982
сумісний
ін'єкція Amphotericin B liposomale 1 mg/ml
ін'єкція Blinatumomab 0.125 & 0.375 µg/ml
Натрію хлорид 0,9% 3976
сумісний
ін'єкція Amphotericin B liposomale 2 mg/ml
ін'єкція Caffeine 10 mg/ml
Глюкоза 5% 4837
Миттєві опади Несумісні
ін'єкція Amphotericin B liposomale 1 mg/ml
ін'єкція Caspofungin acetate 0,7 mg/ml
Натрію хлорид 0,9% 2247
Негайне помутніння Несумісні
ін'єкція Amphotericin B liposomale 2 mg/ml
ін'єкція Ceftolozane / tazobactam 10/5 mg/ml
Глюкоза 5% 3828
сумісний
ін'єкція Amphotericin B liposomale 4 mg/ml
ін'єкція Cloxacillin sodium 100 mg/ml
Вода для ін'єкцій 3012
сумісний
ін'єкція Amphotericin B liposomale 2 mg/ml
ін'єкція Defibrotide 8 mg/ml
Натрію хлорид 0,9% 3728
сумісний
ін'єкція Amphotericin B liposomale 1 mg/ml
ін'єкція Doripenem 5 mg/ml
Глюкоза 5% 2262
Негайне помутніння Несумісні
ін'єкція Amphotericin B liposomale 1 mg/ml
ін'єкція Doripenem 5 mg/ml
Натрію хлорид 0,9% 2262
Втрата каламутності Несумісні
ін'єкція Amphotericin B liposomale 2 mg/ml
ін'єкція Fosfomycin 30 mg/ml
Глюкоза 5% 4055
Негайне помутніння Несумісні
ін'єкція Amphotericin B liposomale 2 mg/ml
ін'єкція Isavuconazonium sulfate 1.5 mg/ml
Глюкоза 5% 3829
сумісний
ін'єкція Amphotericin B liposomale 2 mg/ml
ін'єкція Meropenem 50 mg/ml
4319
сумісний
ін'єкція Amphotericin B liposomale 2 mg/ml
ін'єкція Paracetamol 10 mg/ml
4742
сумісний
ін'єкція Amphotericin B liposomale 2 mg/ml
ін'єкція Pentoxifyllin 5 mg/ml
Глюкоза 5% 4543
Миттєві опади Несумісні
ін'єкція Amphotericin B liposomale 1 mg/ml
ін'єкція Telavancin hydrochloride 7,5 mg/ml
Глюкоза 5% 3254
Миттєві опади Несумісні
ін'єкція Amphotericin B liposomale 1.16 mg/ml
ін'єкція Vancomycin hydrochloride 10 & 62.5 & 83.3 mg/ml
Глюкоза 5% 4254
Миттєві опади Несумісні
ін'єкція Amphotericin B liposomale
Натрію хлорид 0,9% 3398
сумісний
ін'єкція Amphotericin B liposomale 2 mg/ml
ін'єкція Sildenafil citrate 0,6 mg/ml
Глюкоза 5% 4845

  Mentions Légales