Zadnji put ažurirano :
27/04/2026
antifungicid   Amphotericin B liposomale  
injekcija
kapi za oko
Stabilizacija rješenja Stabilnost mješavine Stabilizacijski faktor Kompatibilnosti način davanja lijeka Bibliografija pdf
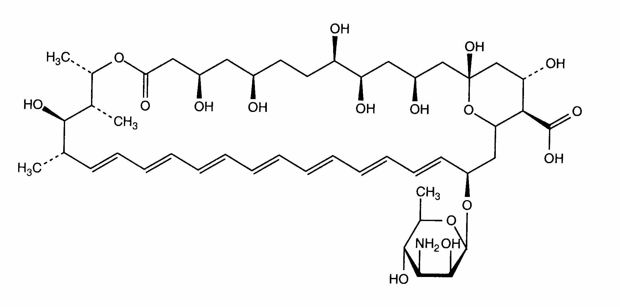
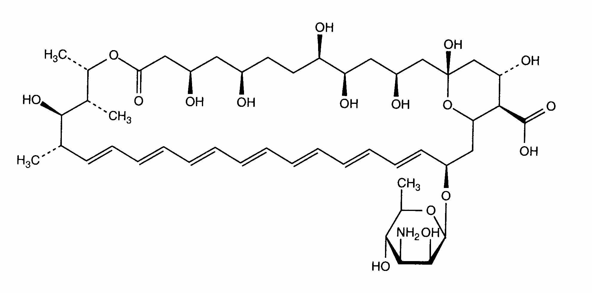
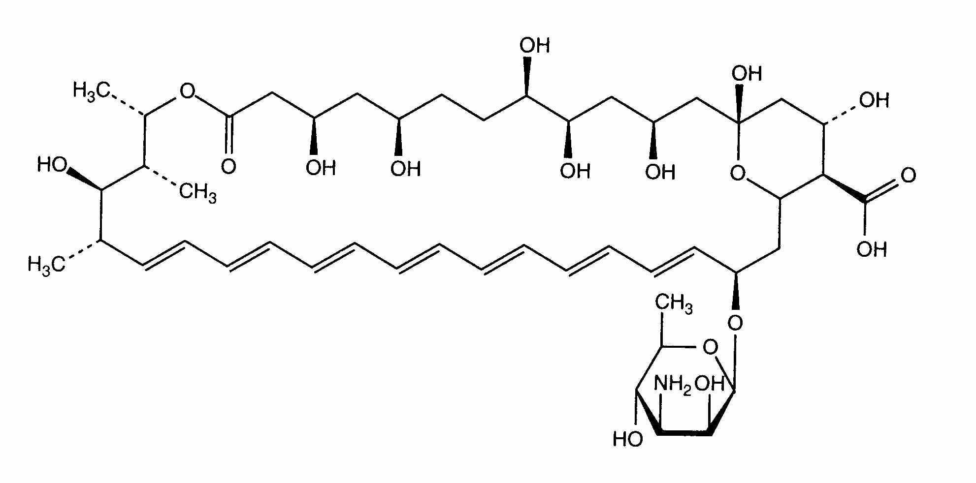
liposomi   Kemijska struktura  

Nekomercijalni   Nekomercijalni     

Zaštićeni nazivi su indikativni i sastav ekscipijensa može biti različit ovisno o državi i laboratorijima

Ambisome Indija, Argentina, Austrija, Belgija, Brazil, Čile, Danska, Egipat, Finska, Francuska, Grčka, Irska, Island, Italija, Japan, Kanada, Luksemburg, Madžarska, Nizozemska, Njemačka, Norveška, novi Zeland, Peru, Poljska, Portugal, S A D, Saudijska Arabija, Španjolska, Švedska, Švicarska, Tajland, Turska, Ujedinjeni Arapski Emirati, Velika Britanija
Kompatibilnosti   injekcija   Kompatibilnosti : Amphotericin B liposomale              
Ovdje su prikazane kompatibilnosti ili nekompatibilnosti s tipom nekompatibilnosti (taloženje, promjena boje, modifikacija emulzije itd.) u ovom slučaju. Kompatibilnosti prikazane ovdje najčešće su fizikalne dok se kemijska stabilnost molekule rijetko procjenjuje. Procjena ovih mikstura je proučavana kako bi se razmotrila mogućnost primjene lijeka putem Y-mjesta. Ovi se podaci ne smiju koristiti za pripremu mikstura unaprijed u vrećicama ili štrcaljkama. Ova vrsta informacije se može pronaći u odjeljku « stabilnost u miksturama ».
molekula sredstvo za rastapanje Bibliografija
Neposredne oborine inkompatibilan
injekcija Amphotericin B liposomale
voda ppi i bakteriostaticna 3398
Kompatibilan
injekcija Amphotericin B liposomale 2 mg/ml
injekcija Amoxicillin sodium / clavulanic acid 100/10 mg/ml
3824
Kompatibilan
injekcija Amphotericin B liposomale 4 mg/ml
injekcija Caffeine 10 mg/ml
nijedan 3964
Neposredna zamućenost inkompatibilan
injekcija Amphotericin B liposomale 2 mg/ml
injekcija Caffeine citrate 20 mg/ml
4837
Neodređena nespojivost inkompatibilan
injekcija Amphotericin B liposomale
injekcija Calcium gluconate
3644
inkompatibilan
injekcija Amphotericin B liposomale
injekcija Calcium gluconate
4964
Kompatibilan
injekcija Amphotericin B liposomale 4 mg/ml
Ringer laktat 4603
Kompatibilan
injekcija Amphotericin B liposomale
glukoza 5% 3398
Kompatibilan
injekcija Amphotericin B liposomale 1 mg/ml
injekcija Anidulafungin 0.5 mg/ml
glukoza 5% 1982
Kompatibilan
injekcija Amphotericin B liposomale 1 mg/ml
injekcija Blinatumomab 0.125 & 0.375 µg/ml
natrijumkorid 0,9% 3976
Kompatibilan
injekcija Amphotericin B liposomale 2 mg/ml
injekcija Caffeine 10 mg/ml
glukoza 5% 4837
Neposredne oborine inkompatibilan
injekcija Amphotericin B liposomale 1 mg/ml
injekcija Caspofungin acetate 0,7 mg/ml
natrijumkorid 0,9% 2247
Neposredna zamućenost inkompatibilan
injekcija Amphotericin B liposomale 2 mg/ml
injekcija Ceftolozane / tazobactam 10/5 mg/ml
glukoza 5% 3828
Kompatibilan
injekcija Amphotericin B liposomale 4 mg/ml
injekcija Cloxacillin sodium 100 mg/ml
čista voda za injektiranje 3012
Kompatibilan
injekcija Amphotericin B liposomale 2 mg/ml
injekcija Defibrotide 8 mg/ml
natrijumkorid 0,9% 3728
Kompatibilan
injekcija Amphotericin B liposomale 1 mg/ml
injekcija Doripenem 5 mg/ml
glukoza 5% 2262
Neposredna zamućenost inkompatibilan
injekcija Amphotericin B liposomale 1 mg/ml
injekcija Doripenem 5 mg/ml
natrijumkorid 0,9% 2262
Gubitak zamućenosti inkompatibilan
injekcija Amphotericin B liposomale 2 mg/ml
injekcija Fosfomycin 30 mg/ml
glukoza 5% 4055
Neposredna zamućenost inkompatibilan
injekcija Amphotericin B liposomale 2 mg/ml
injekcija Isavuconazonium sulfate 1.5 mg/ml
glukoza 5% 3829
Kompatibilan
injekcija Amphotericin B liposomale 2 mg/ml
injekcija Meropenem 50 mg/ml
4319
Kompatibilan
injekcija Amphotericin B liposomale 2 mg/ml
injekcija Paracetamol 10 mg/ml
4742
Kompatibilan
injekcija Amphotericin B liposomale 2 mg/ml
injekcija Pentoxifyllin 5 mg/ml
glukoza 5% 4543
Neposredne oborine inkompatibilan
injekcija Amphotericin B liposomale 1 mg/ml
injekcija Telavancin hydrochloride 7,5 mg/ml
glukoza 5% 3254
Neposredne oborine inkompatibilan
injekcija Amphotericin B liposomale 1.16 mg/ml
injekcija Vancomycin hydrochloride 10 & 62.5 & 83.3 mg/ml
glukoza 5% 4254
Neposredne oborine inkompatibilan
injekcija Amphotericin B liposomale
natrijumkorid 0,9% 3398
Kompatibilan
injekcija Amphotericin B liposomale 2 mg/ml
injekcija Sildenafil citrate 0,6 mg/ml
glukoza 5% 4845

  Mentions Légales