Senaste uppdateringen :
27/04/2026
Antimykotikum   Amphotericin B liposomale  
injektion
ögondroppar
Lösningars stabilitet Stabilitet i blandningar Faktorer som påverkar stabiliteten Kompatibilitet Administreringssätt Hänvisningar pdf
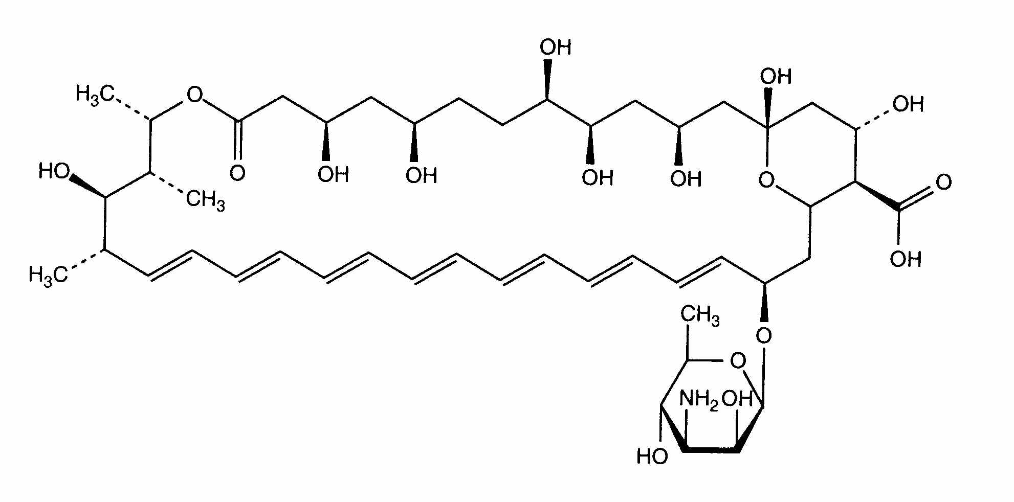
Liposom   Molekylstruktur  

Varunamn   Varunamn     

Angivna handelsnamn på läkemedel är enbart vägledande då formulering inklusive hjälpämnen kan variera mellan länder och tillverkare

Ambisome Argentina, Belgien, Brasilien, Chile, Danmark, Egypten, Finland, Förenade Arabemiraten, Förenta Staterna, Frankrike, Grekland, Indien, Irland, Island, Italien, Japan, Kanada, Luxemburg, Nederländerna, Norge, nya Zeeland, Österrike, Peru, Polen, Portugal, Saudi-Arabien, Schweiz, Spanien, Storbritannien, Sverige, Thailand, Turkiet, Tyskland, Ungern
Kompatibilitet   injektion   Kompatibilitet : Amphotericin B liposomale              
Den här skärmen visar kompatibiliteten eller inkompatibiliteten med, i detta fall, typen av inkompatibilitet (utfällning, färgförändring, modifiering av en emulsion, etc.). De kompatibiliteter som visas här är oftast endast fysiska, varvid den kemiska stabiliteten för varje molekyl sällan utvärderas. Utvärderingen av dessa blandningar studerades för att överväga möjligheten för Y-platsadministrering till patienten. Dessa data kan inte användas för att göra blandningar i förväg i påsar eller sprutor. Denna typ av information finns på skärmen "Stabilitet i blandning".
Substans Lösningsmedel Hänvisningar
Omedelbar nederbörd Oförenlig
injektion Amphotericin B liposomale
Vatten för injektion + bakteriostatisk substans 3398
Kompatibel
injektion Amphotericin B liposomale 2 mg/ml
injektion Amoxicillin sodium / clavulanic acid 100/10 mg/ml
3824
Kompatibel
injektion Amphotericin B liposomale 4 mg/ml
injektion Caffeine 10 mg/ml
Ingen 3964
Omedelbar grumlighet Oförenlig
injektion Amphotericin B liposomale 2 mg/ml
injektion Caffeine citrate 20 mg/ml
4837
Ospecificerad inkompatibilitet Oförenlig
injektion Amphotericin B liposomale
injektion Calcium gluconate
3644
Oförenlig
injektion Amphotericin B liposomale
injektion Calcium gluconate
4964
Kompatibel
injektion Amphotericin B liposomale 4 mg/ml
Ringer-laktatlösning 4603
Kompatibel
injektion Amphotericin B liposomale
Glukos 5 % 3398
Kompatibel
injektion Amphotericin B liposomale 1 mg/ml
injektion Anidulafungin 0.5 mg/ml
Glukos 5 % 1982
Kompatibel
injektion Amphotericin B liposomale 1 mg/ml
injektion Blinatumomab 0.125 & 0.375 µg/ml
Natriumklorid 0,9 % 3976
Kompatibel
injektion Amphotericin B liposomale 2 mg/ml
injektion Caffeine 10 mg/ml
Glukos 5 % 4837
Omedelbar nederbörd Oförenlig
injektion Amphotericin B liposomale 1 mg/ml
injektion Caspofungin acetate 0,7 mg/ml
Natriumklorid 0,9 % 2247
Omedelbar grumlighet Oförenlig
injektion Amphotericin B liposomale 2 mg/ml
injektion Ceftolozane / tazobactam 10/5 mg/ml
Glukos 5 % 3828
Kompatibel
injektion Amphotericin B liposomale 4 mg/ml
injektion Cloxacillin sodium 100 mg/ml
Vatten för injektion 3012
Kompatibel
injektion Amphotericin B liposomale 2 mg/ml
injektion Defibrotide 8 mg/ml
Natriumklorid 0,9 % 3728
Kompatibel
injektion Amphotericin B liposomale 1 mg/ml
injektion Doripenem 5 mg/ml
Glukos 5 % 2262
Omedelbar grumlighet Oförenlig
injektion Amphotericin B liposomale 1 mg/ml
injektion Doripenem 5 mg/ml
Natriumklorid 0,9 % 2262
Förlust av grumlighet Oförenlig
injektion Amphotericin B liposomale 2 mg/ml
injektion Fosfomycin 30 mg/ml
Glukos 5 % 4055
Omedelbar grumlighet Oförenlig
injektion Amphotericin B liposomale 2 mg/ml
injektion Isavuconazonium sulfate 1.5 mg/ml
Glukos 5 % 3829
Kompatibel
injektion Amphotericin B liposomale 2 mg/ml
injektion Meropenem 50 mg/ml
4319
Kompatibel
injektion Amphotericin B liposomale 2 mg/ml
injektion Paracetamol 10 mg/ml
4742
Kompatibel
injektion Amphotericin B liposomale 2 mg/ml
injektion Pentoxifyllin 5 mg/ml
Glukos 5 % 4543
Omedelbar nederbörd Oförenlig
injektion Amphotericin B liposomale 1 mg/ml
injektion Telavancin hydrochloride 7,5 mg/ml
Glukos 5 % 3254
Omedelbar nederbörd Oförenlig
injektion Amphotericin B liposomale 1.16 mg/ml
injektion Vancomycin hydrochloride 10 & 62.5 & 83.3 mg/ml
Glukos 5 % 4254
Omedelbar nederbörd Oförenlig
injektion Amphotericin B liposomale
Natriumklorid 0,9 % 3398
Kompatibel
injektion Amphotericin B liposomale 2 mg/ml
injektion Sildenafil citrate 0,6 mg/ml
Glukos 5 % 4845

  Mentions Légales