zadnja posodobitev :
27/04/2026
Antimikotik   Amphotericin B liposomale  
Brizgalka
Kapljice za oči
Stabilnost raztopine Stabilnost mešanice Faktorji, ki vplivajo na stabilnost Kompatibilnost način aplikacije Viri pdf
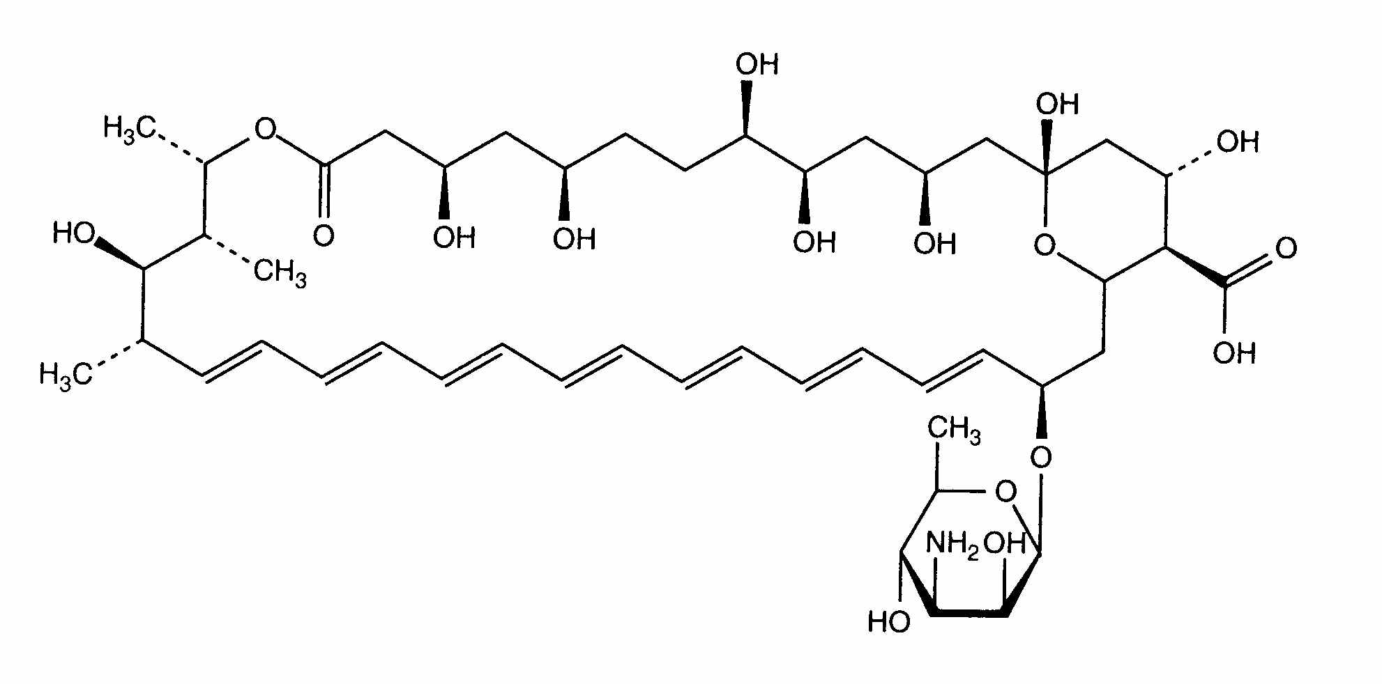
Liposom   Kemična formula  

Lastniško ime   Lastniško ime     

Sestava pomožnih snovi je med paralelami lahko različna

Ambisome Argentina, Avstrija, Belgija, Brazilija, Čile, Danska, Egipt, Finska, Francija, Grčija, Indija, Irska, Islandija, Italija, Japonska, Kanada, Luksemburg, Madžarska, Nemčija, Nizozemska, Norveška, nova Zelandija, Peru, Poljska, Portugalska, Savdska Arabija, Španija, Švedska, Švica, Tajska, Turčija, Velika Britanija, Združene države Amerike, Združeni arabski emirati
Kompatibilnost   Brizgalka   Kompatibilnost : Amphotericin B liposomale              
Ta zaslon prikazuje združljivost ali nezdružljivost s, v tem primeru, vrsto nezdružljivosti (padavine, sprememba barve, sprememba emulzije itd.). Tu prikazane združljivosti so večinoma samo fizične, pri čemer se kemijska stabilnost vsake molekule redko ocenjuje. Vrednotenje teh zmesi so preučevali, da bi preučili možnost pacientovega dajanja na mestu Y. Teh podatkov ni mogoče uporabiti za pripravo mešanic v vrečkah ali brizgah. Ta vrsta informacij je na voljo na zaslonu "Obstojnost v mešanici".
Sestava Topilo Viri
Takoj padavine Nezdružljivo
Brizgalka Amphotericin B liposomale
Voda za injekcije + antibiotik 3398
Združljivo
Brizgalka Amphotericin B liposomale 2 mg/ml
Brizgalka Amoxicillin sodium / clavulanic acid 100/10 mg/ml
3824
Združljivo
Brizgalka Amphotericin B liposomale 4 mg/ml
Brizgalka Caffeine 10 mg/ml
Nobeden 3964
Takojšnja motnost Nezdružljivo
Brizgalka Amphotericin B liposomale 2 mg/ml
Brizgalka Caffeine citrate 20 mg/ml
4837
Nedoločena nezdružljivost Nezdružljivo
Brizgalka Amphotericin B liposomale
Brizgalka Calcium gluconate
3644
Nezdružljivo
Brizgalka Amphotericin B liposomale
Brizgalka Calcium gluconate
4964
Združljivo
Brizgalka Amphotericin B liposomale 4 mg/ml
Ringerjev laktat 4603
Združljivo
Brizgalka Amphotericin B liposomale
Glukoza 5% 3398
Združljivo
Brizgalka Amphotericin B liposomale 1 mg/ml
Brizgalka Anidulafungin 0.5 mg/ml
Glukoza 5% 1982
Združljivo
Brizgalka Amphotericin B liposomale 1 mg/ml
Brizgalka Blinatumomab 0.125 & 0.375 µg/ml
Natrijev klorid 0,9% 3976
Združljivo
Brizgalka Amphotericin B liposomale 2 mg/ml
Brizgalka Caffeine 10 mg/ml
Glukoza 5% 4837
Takoj padavine Nezdružljivo
Brizgalka Amphotericin B liposomale 1 mg/ml
Brizgalka Caspofungin acetate 0,7 mg/ml
Natrijev klorid 0,9% 2247
Takojšnja motnost Nezdružljivo
Brizgalka Amphotericin B liposomale 2 mg/ml
Brizgalka Ceftolozane / tazobactam 10/5 mg/ml
Glukoza 5% 3828
Združljivo
Brizgalka Amphotericin B liposomale 4 mg/ml
Brizgalka Cloxacillin sodium 100 mg/ml
Voda za injekcije 3012
Združljivo
Brizgalka Amphotericin B liposomale 2 mg/ml
Brizgalka Defibrotide 8 mg/ml
Natrijev klorid 0,9% 3728
Združljivo
Brizgalka Amphotericin B liposomale 1 mg/ml
Brizgalka Doripenem 5 mg/ml
Glukoza 5% 2262
Takojšnja motnost Nezdružljivo
Brizgalka Amphotericin B liposomale 1 mg/ml
Brizgalka Doripenem 5 mg/ml
Natrijev klorid 0,9% 2262
Izguba motnosti Nezdružljivo
Brizgalka Amphotericin B liposomale 2 mg/ml
Brizgalka Fosfomycin 30 mg/ml
Glukoza 5% 4055
Takojšnja motnost Nezdružljivo
Brizgalka Amphotericin B liposomale 2 mg/ml
Brizgalka Isavuconazonium sulfate 1.5 mg/ml
Glukoza 5% 3829
Združljivo
Brizgalka Amphotericin B liposomale 2 mg/ml
Brizgalka Meropenem 50 mg/ml
4319
Združljivo
Brizgalka Amphotericin B liposomale 2 mg/ml
Brizgalka Paracetamol 10 mg/ml
4742
Združljivo
Brizgalka Amphotericin B liposomale 2 mg/ml
Brizgalka Pentoxifyllin 5 mg/ml
Glukoza 5% 4543
Takoj padavine Nezdružljivo
Brizgalka Amphotericin B liposomale 1 mg/ml
Brizgalka Telavancin hydrochloride 7,5 mg/ml
Glukoza 5% 3254
Takoj padavine Nezdružljivo
Brizgalka Amphotericin B liposomale 1.16 mg/ml
Brizgalka Vancomycin hydrochloride 10 & 62.5 & 83.3 mg/ml
Glukoza 5% 4254
Takoj padavine Nezdružljivo
Brizgalka Amphotericin B liposomale
Natrijev klorid 0,9% 3398
Združljivo
Brizgalka Amphotericin B liposomale 2 mg/ml
Brizgalka Sildenafil citrate 0,6 mg/ml
Glukoza 5% 4845

  Mentions Légales