آخر تحديث :
27/04/2026
مضاد للفطريات   Amphotericin B liposomale  
حقن
قطرات العين
الاستقرار في حلول استقرار مخاليط العوامل التي تؤثر على الاستقرار التوافق طريقة التعاطي مراجع pdf
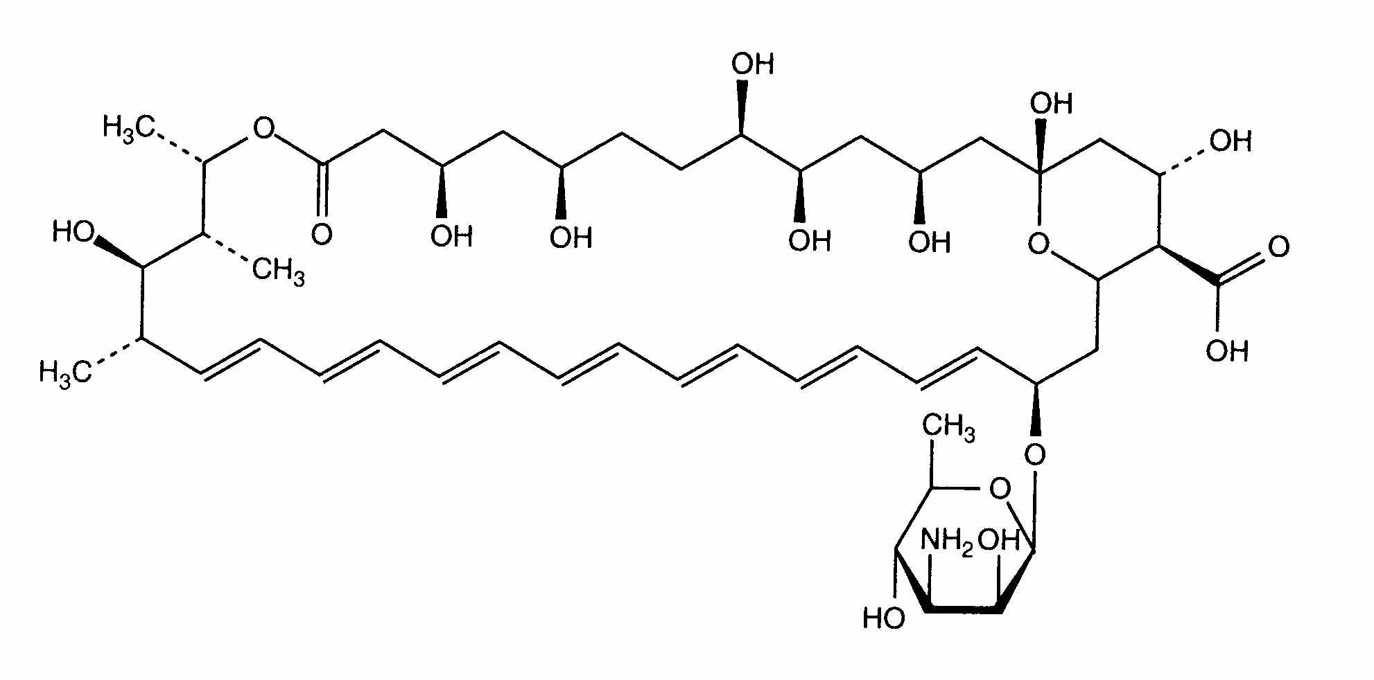
الحويصلية   التركيب الكيميائي  

حجز الاسم التجاري   حجز الاسم التجاري     

تحذير الأسماء التجاريه المختلفه قد تحتوي علي محتوي إضافات مختلفة حسب الدوله و المعمل

Ambisome ألمانيا, أيسلندا, إسبانيا, إيطاليا, الأرجنتين, الإمارات العربية المتحدة, البرازيل, البرتغال, الدنمارك, السويد, العربية السعودية, النرويج, النمسا, الهند, الولايات المتحدة, اليابان, ايرلندا, بريطانيا العظمي, بلجيكا, بولندا, بيرو, تايلاند, تركيا, تشيلي, زيلاندا الجديدة, سويسرا, فرنسا, فنلندا, كندا, لوكسمبورغ, مصر, هنغاريا, هولندا, يونان
التوافق   حقن   التوافق : Amphotericin B liposomale              
This screen indicates the compatibilities or incompatibilities with, in this case, the type of incompatibility (precipitation, color change, modification of an emulsion, etc.). The compatibilities shown here are mostly physical only, with the chemical stability of each molecule rarely being assessed. The evaluation of these mixtures was studied to consider the possibility of Y-site administration to the patient. These data cannot be used for making mixtures in advance in bags or syringes. This type of information is available in the screen "Stability in mixture ».
مركب مذيب مراجع
هطول فوري غير متوافق
حقن Amphotericin B liposomale
المياه للحقن + مضاد للجراثيم 3398
kompatibel
حقن Amphotericin B liposomale 2 mg/ml
حقن Amoxicillin sodium / clavulanic acid 100/10 mg/ml
3824
kompatibel
حقن Amphotericin B liposomale 4 mg/ml
حقن Caffeine 10 mg/ml
لا شيء 3964
التعكر الفوري غير متوافق
حقن Amphotericin B liposomale 2 mg/ml
حقن Caffeine citrate 20 mg/ml
4837
عدم توافق غير محدد غير متوافق
حقن Amphotericin B liposomale
حقن Calcium gluconate
3644
غير متوافق
حقن Amphotericin B liposomale
حقن Calcium gluconate
4964
kompatibel
حقن Amphotericin B liposomale 4 mg/ml
محلول رينجر  اللاكتات 4603
kompatibel
حقن Amphotericin B liposomale
الجلوكوز %5 3398
kompatibel
حقن Amphotericin B liposomale 1 mg/ml
حقن Anidulafungin 0.5 mg/ml
الجلوكوز %5 1982
kompatibel
حقن Amphotericin B liposomale 1 mg/ml
حقن Blinatumomab 0.125 & 0.375 µg/ml
كلوريد الصوديوم 0.9% 3976
kompatibel
حقن Amphotericin B liposomale 2 mg/ml
حقن Caffeine 10 mg/ml
الجلوكوز %5 4837
هطول فوري غير متوافق
حقن Amphotericin B liposomale 1 mg/ml
حقن Caspofungin acetate 0,7 mg/ml
كلوريد الصوديوم 0.9% 2247
التعكر الفوري غير متوافق
حقن Amphotericin B liposomale 2 mg/ml
حقن Ceftolozane / tazobactam 10/5 mg/ml
الجلوكوز %5 3828
kompatibel
حقن Amphotericin B liposomale 4 mg/ml
حقن Cloxacillin sodium 100 mg/ml
حقن المياه لل 3012
kompatibel
حقن Amphotericin B liposomale 2 mg/ml
حقن Defibrotide 8 mg/ml
كلوريد الصوديوم 0.9% 3728
kompatibel
حقن Amphotericin B liposomale 1 mg/ml
حقن Doripenem 5 mg/ml
الجلوكوز %5 2262
التعكر الفوري غير متوافق
حقن Amphotericin B liposomale 1 mg/ml
حقن Doripenem 5 mg/ml
كلوريد الصوديوم 0.9% 2262
فقدان العكارة غير متوافق
حقن Amphotericin B liposomale 2 mg/ml
حقن Fosfomycin 30 mg/ml
الجلوكوز %5 4055
التعكر الفوري غير متوافق
حقن Amphotericin B liposomale 2 mg/ml
حقن Isavuconazonium sulfate 1.5 mg/ml
الجلوكوز %5 3829
kompatibel
حقن Amphotericin B liposomale 2 mg/ml
حقن Meropenem 50 mg/ml
4319
kompatibel
حقن Amphotericin B liposomale 2 mg/ml
حقن Paracetamol 10 mg/ml
4742
kompatibel
حقن Amphotericin B liposomale 2 mg/ml
حقن Pentoxifyllin 5 mg/ml
الجلوكوز %5 4543
هطول فوري غير متوافق
حقن Amphotericin B liposomale 1 mg/ml
حقن Telavancin hydrochloride 7,5 mg/ml
الجلوكوز %5 3254
هطول فوري غير متوافق
حقن Amphotericin B liposomale 1.16 mg/ml
حقن Vancomycin hydrochloride 10 & 62.5 & 83.3 mg/ml
الجلوكوز %5 4254
هطول فوري غير متوافق
حقن Amphotericin B liposomale
كلوريد الصوديوم 0.9% 3398
kompatibel
حقن Amphotericin B liposomale 2 mg/ml
حقن Sildenafil citrate 0,6 mg/ml
الجلوكوز %5 4845

  Mentions Légales