Dernière mise à jour :
27/04/2026
Antifongique   Amphotericin B liposomale  
injectable
Collyre
Stabilité des solutions Stabilité en mélange Facteur influençant la stabilité Compatibilités Voie d’administration Bibliographie pdf
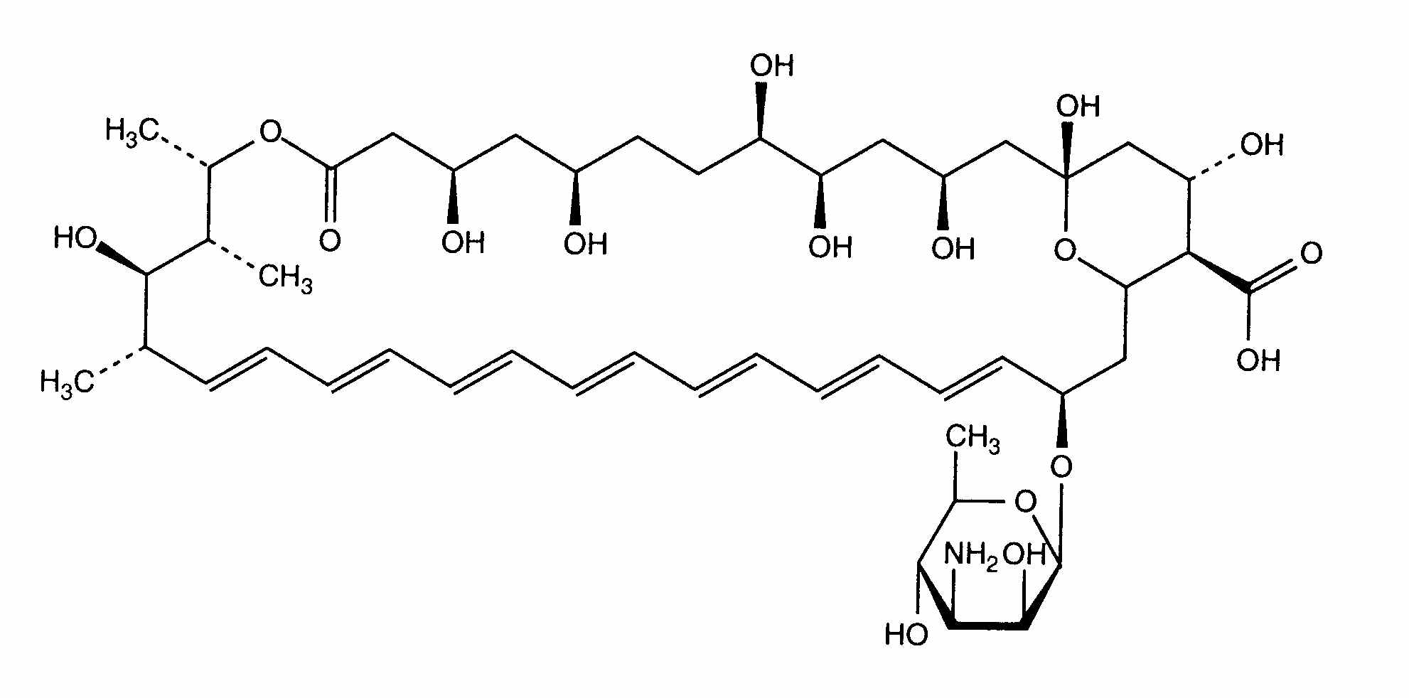
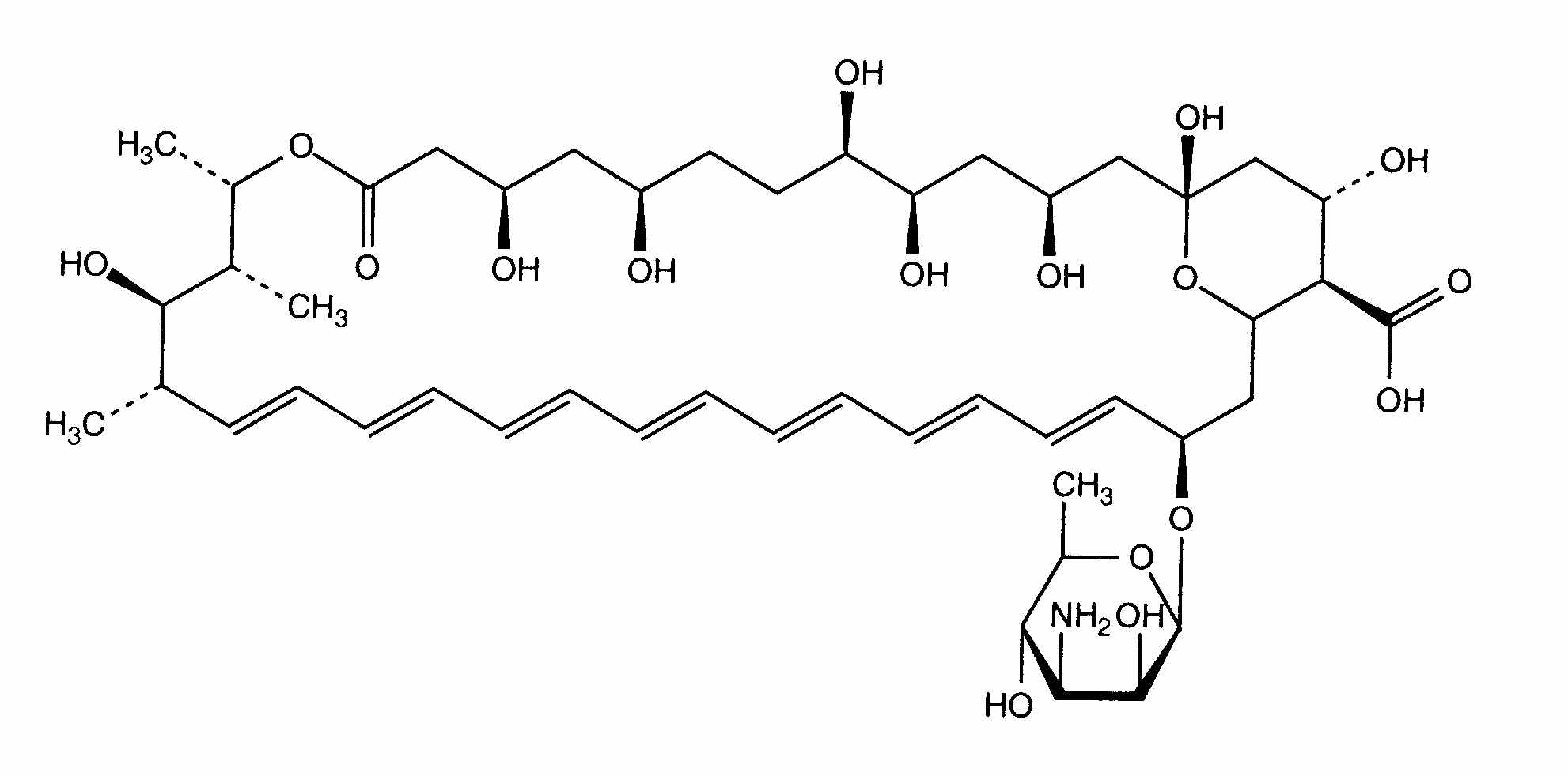
Liposome   Structure chimique  

Noms commerciaux   Noms commerciaux     

Les noms commerciaux sont donnés à titre indicatif et la composition en excipients peut être différente selon les pays et selon les laboratoires

Ambisome Allemagne, Arabie Saoudite, Argentine, Autriche, Belgique, Brésil, Canada, Chili, Danemark, Egypte, Emirats Arabes Unis , Espagne, Etats Unis d’Amérique, Finlande, France, Grande Bretagne, Grèce, Hongrie, Inde, Irlande, Islande, Italie, Japon, Luxembourg, Norvège, Nouvelle Zélande, Pays bas, Pérou, Pologne, Portugal, Suède, Suisse, Thaïlande, Turquie
Compatibilités   injectable   Compatibilités : Amphotericin B liposomale              
Cet écran indique les compatibilités ou incompatibilités avec, dans ce cas, le type d'incompatibilité (précipitation, changement de couleur, modification d'une émulsion, etc.). Les compatibilités présentées ici sont pour la plupart uniquement physiques, la stabilité chimique de chaque molécule étant rarement évaluée. L'évaluation de ces mélanges a été étudiée pour envisager la possibilité d'une administration en site Y au patient. Ces données ne peuvent pas être utilisées pour préparer des mélanges à l'avance dans des poches de perfusion ou des seringues. Ce type d'informations est disponible dans l'écran « Stabilité en mélange ».
Molécule Solvant Bibliographie
Précipitation immédiate Incompatible
injectable Amphotericin B liposomale
Eau ppi  + bactériostatique 3398
Compatible
injectable Amphotericin B liposomale 2 mg/ml
injectable Amoxicillin sodium / clavulanic acid 100/10 mg/ml
3824
Compatible
injectable Amphotericin B liposomale 4 mg/ml
injectable Caffeine 10 mg/ml
Aucun 3964
Turbidité immédiate Incompatible
injectable Amphotericin B liposomale 2 mg/ml
injectable Caffeine citrate 20 mg/ml
4837
Incompatibilité non précisée Incompatible
injectable Amphotericin B liposomale
injectable Calcium gluconate
3644
Incompatible
injectable Amphotericin B liposomale
injectable Calcium gluconate
4964
Compatible
injectable Amphotericin B liposomale 4 mg/ml
Ringer lactate 4603
Compatible
injectable Amphotericin B liposomale
Glucose 5% 3398
Compatible
injectable Amphotericin B liposomale 1 mg/ml
injectable Anidulafungin 0.5 mg/ml
Glucose 5% 1982
Compatible
injectable Amphotericin B liposomale 1 mg/ml
injectable Blinatumomab 0.125 & 0.375 µg/ml
Chlorure de sodium 0,9% 3976
Compatible
injectable Amphotericin B liposomale 2 mg/ml
injectable Caffeine 10 mg/ml
Glucose 5% 4837
Précipitation immédiate Incompatible
injectable Amphotericin B liposomale 1 mg/ml
injectable Caspofungin acetate 0,7 mg/ml
Chlorure de sodium 0,9% 2247
Turbidité immédiate Incompatible
injectable Amphotericin B liposomale 2 mg/ml
injectable Ceftolozane / tazobactam 10/5 mg/ml
Glucose 5% 3828
Compatible
injectable Amphotericin B liposomale 4 mg/ml
injectable Cloxacillin sodium 100 mg/ml
Eau pour préparation injectable 3012
Compatible
injectable Amphotericin B liposomale 2 mg/ml
injectable Defibrotide 8 mg/ml
Chlorure de sodium 0,9% 3728
Compatible
injectable Amphotericin B liposomale 1 mg/ml
injectable Doripenem 5 mg/ml
Glucose 5% 2262
Turbidité immédiate Incompatible
injectable Amphotericin B liposomale 1 mg/ml
injectable Doripenem 5 mg/ml
Chlorure de sodium 0,9% 2262
Perte de turbidité Incompatible
injectable Amphotericin B liposomale 2 mg/ml
injectable Fosfomycin 30 mg/ml
Glucose 5% 4055
Turbidité immédiate Incompatible
injectable Amphotericin B liposomale 2 mg/ml
injectable Isavuconazonium sulfate 1.5 mg/ml
Glucose 5% 3829
Compatible
injectable Amphotericin B liposomale 2 mg/ml
injectable Meropenem 50 mg/ml
4319
Compatible
injectable Amphotericin B liposomale 2 mg/ml
injectable Paracetamol 10 mg/ml
4742
Compatible
injectable Amphotericin B liposomale 2 mg/ml
injectable Pentoxifyllin 5 mg/ml
Glucose 5% 4543
Précipitation immédiate Incompatible
injectable Amphotericin B liposomale 1 mg/ml
injectable Telavancin hydrochloride 7,5 mg/ml
Glucose 5% 3254
Précipitation immédiate Incompatible
injectable Amphotericin B liposomale 1.16 mg/ml
injectable Vancomycin hydrochloride 10 & 62.5 & 83.3 mg/ml
Glucose 5% 4254
Précipitation immédiate Incompatible
injectable Amphotericin B liposomale
Chlorure de sodium 0,9% 3398
Compatible
injectable Amphotericin B liposomale 2 mg/ml
injectable Sildenafil citrate 0,6 mg/ml
Glucose 5% 4845

  Mentions Légales