Τελευταία ενημέρωση :
27/04/2026
Αντιμυκητικό   Amphotericin B liposomale  
Ενέσιμο
Οφθαλμικές σταγόνες
Σταθερότητα διαλυμάτων Σταθερότητα σε μίγματα Παράγοντας που επηρεάζει τη σταθερότητα Συμβατότητες Τρόπος χορήγησης Βιβλιογραφία pdf
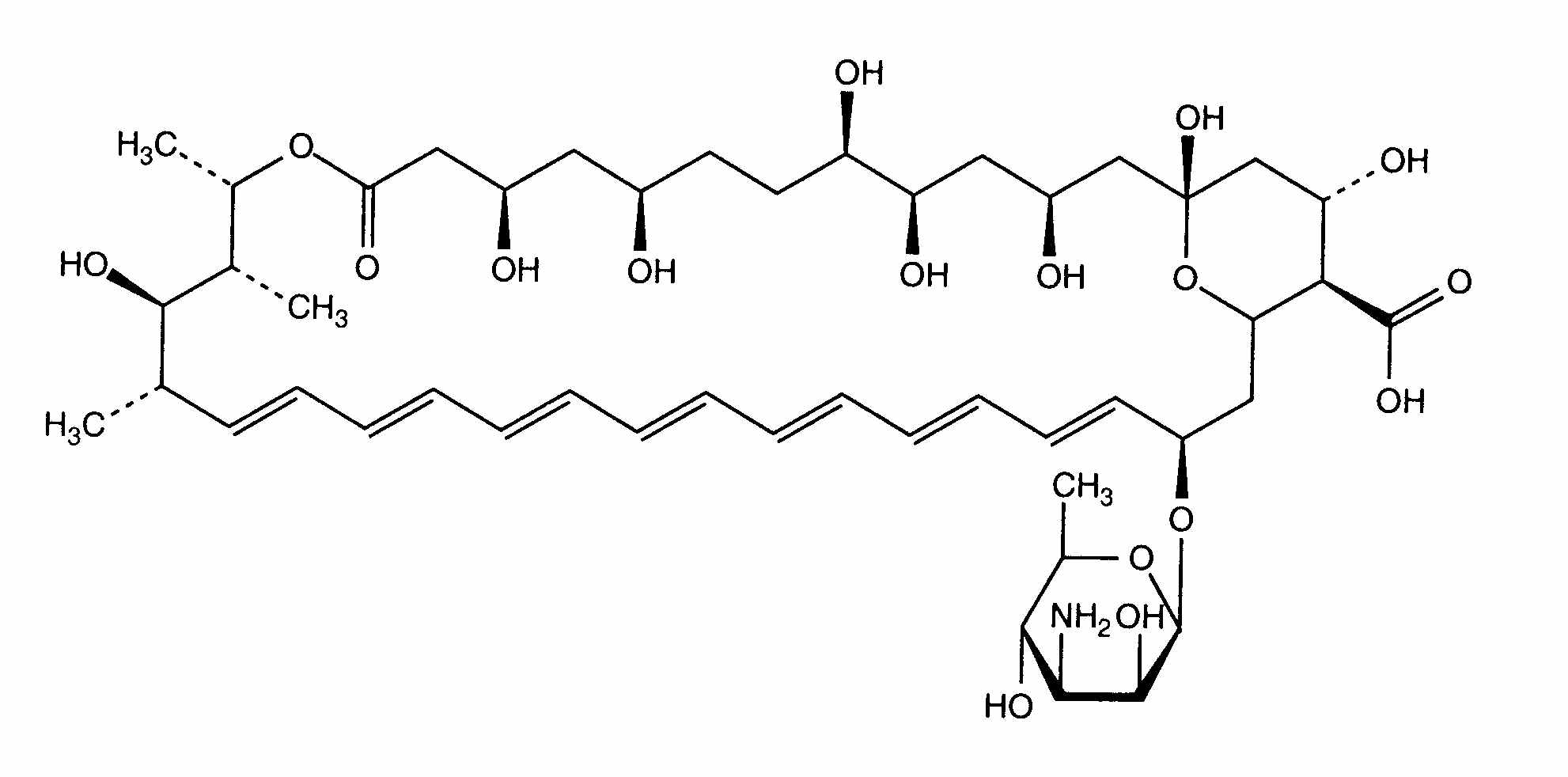
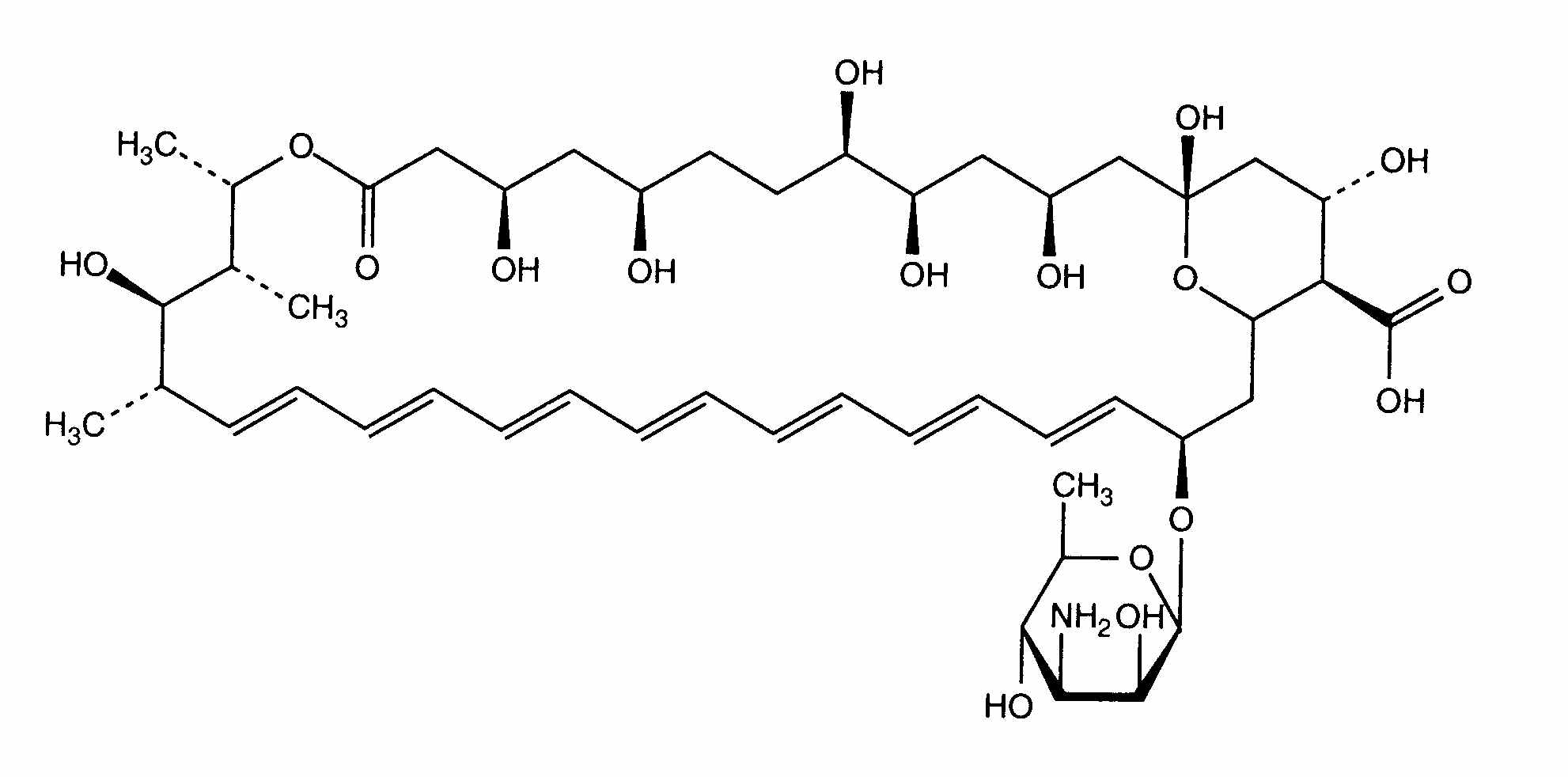
Λιπόσωμα   χημική δομή  

Εμπορική ονομασία   Εμπορική ονομασία     

Οι εμπορικές ονομασίες είναι ενδεικτικές και η σύνθεση των εκδόχων μπορεί να διαφέρει ανάλογα με τη χώρα και τα εργαστήρια

Ambisome Yhdistyneet arabiemiirikunnat, Αίγυπτος, Αργεντινή, Αυστρία, Βέλγιο, Βραζιλία, Γαλλία, Γερμανία, Δανία, Ελβετία, Ελλάδα, Η.Π.Α., Ιαπωνία, Ινδία, Ιρλανδία, Ισλανδία, Ισπανία, Ιταλία, Καναδάς, Λουξεμβούργο, Μεγάλη Βρετανία, νέα Ζηλανδία, Νορβηγία, Ολλανδία, Ουγγαρία, Περού, Πολωνία, Πορτογαλία, Σαουδική Αραβία, Σουηδία, Ταϊλάνδη, Τουρκία, Φινλανδία, Χιλή
Συμβατότητες    Ενέσιμο   Συμβατότητες : Amphotericin B liposomale              
Σε αυτή την οθόνη εμφανίζονται οι συμβατότητες ή ασυμβατότητες. Σε αυτή την περίπτωση εμφανίζονται το είδος της ασυμβατότητας (ίζημα, αλλαγή χρώματος, μεταβολή γαλακτώματος, κλπ). Οι συμβατότητες που παρουσιάζονται εδώ είναι κυρίως φυσικές, ενώ η χημική σταθερότητα κάθε μορίου σπάνια περιλαμβάνεται. Η αξιολόγηση αυτών των μιγμάτων μελετήθηκε προκειμένου να εκτιμηθεί η πιθανότητα χορήγησης στον ασθενή στο Υ κέντρο. Τα δεδομένα αυτά δεν μπορούν να χρησιμοποιηθούν για την εκ των προτέρων δημιουργία μιγμάτων σε ασκούς ή σύριγγες. Αυτό το είδος πληροφορίας υπάρχει και μπορεί να αναζητηθεί στην οθόνη «Σταθερότητα σε μίγμα».
Συστατικό Διαλυτικό Βιβλιογραφία
Άμεση βροχόπτωση Ασύμβατες
Ενέσιμο Amphotericin B liposomale
Ενέσιμο ύδωρ + αντιβακτηριακό 3398
Σύμφωνος
Ενέσιμο Amphotericin B liposomale 2 mg/ml
Ενέσιμο Amoxicillin sodium / clavulanic acid 100/10 mg/ml
3824
Σύμφωνος
Ενέσιμο Amphotericin B liposomale 4 mg/ml
Ενέσιμο Caffeine 10 mg/ml
Ουδέν 3964
Άμεση θολότητα Ασύμβατες
Ενέσιμο Amphotericin B liposomale 2 mg/ml
Ενέσιμο Caffeine citrate 20 mg/ml
4837
Απροσδιόριστη ασυμβατότητα Ασύμβατες
Ενέσιμο Amphotericin B liposomale
Ενέσιμο Calcium gluconate
3644
Ασύμβατες
Ενέσιμο Amphotericin B liposomale
Ενέσιμο Calcium gluconate
4964
Σύμφωνος
Ενέσιμο Amphotericin B liposomale 4 mg/ml
Γαλακτικό διάλυμα Ringer 4603
Σύμφωνος
Ενέσιμο Amphotericin B liposomale
Γλυκόζη 5% 3398
Σύμφωνος
Ενέσιμο Amphotericin B liposomale 1 mg/ml
Ενέσιμο Anidulafungin 0.5 mg/ml
Γλυκόζη 5% 1982
Σύμφωνος
Ενέσιμο Amphotericin B liposomale 1 mg/ml
Ενέσιμο Blinatumomab 0.125 & 0.375 µg/ml
Χλωριούχο νάτριο 0,9% 3976
Σύμφωνος
Ενέσιμο Amphotericin B liposomale 2 mg/ml
Ενέσιμο Caffeine 10 mg/ml
Γλυκόζη 5% 4837
Άμεση βροχόπτωση Ασύμβατες
Ενέσιμο Amphotericin B liposomale 1 mg/ml
Ενέσιμο Caspofungin acetate 0,7 mg/ml
Χλωριούχο νάτριο 0,9% 2247
Άμεση θολότητα Ασύμβατες
Ενέσιμο Amphotericin B liposomale 2 mg/ml
Ενέσιμο Ceftolozane / tazobactam 10/5 mg/ml
Γλυκόζη 5% 3828
Σύμφωνος
Ενέσιμο Amphotericin B liposomale 4 mg/ml
Ενέσιμο Cloxacillin sodium 100 mg/ml
Ενέσιμο ύδωρ 3012
Σύμφωνος
Ενέσιμο Amphotericin B liposomale 2 mg/ml
Ενέσιμο Defibrotide 8 mg/ml
Χλωριούχο νάτριο 0,9% 3728
Σύμφωνος
Ενέσιμο Amphotericin B liposomale 1 mg/ml
Ενέσιμο Doripenem 5 mg/ml
Γλυκόζη 5% 2262
Άμεση θολότητα Ασύμβατες
Ενέσιμο Amphotericin B liposomale 1 mg/ml
Ενέσιμο Doripenem 5 mg/ml
Χλωριούχο νάτριο 0,9% 2262
Απώλεια θολότητας Ασύμβατες
Ενέσιμο Amphotericin B liposomale 2 mg/ml
Ενέσιμο Fosfomycin 30 mg/ml
Γλυκόζη 5% 4055
Άμεση θολότητα Ασύμβατες
Ενέσιμο Amphotericin B liposomale 2 mg/ml
Ενέσιμο Isavuconazonium sulfate 1.5 mg/ml
Γλυκόζη 5% 3829
Σύμφωνος
Ενέσιμο Amphotericin B liposomale 2 mg/ml
Ενέσιμο Meropenem 50 mg/ml
4319
Σύμφωνος
Ενέσιμο Amphotericin B liposomale 2 mg/ml
Ενέσιμο Paracetamol 10 mg/ml
4742
Σύμφωνος
Ενέσιμο Amphotericin B liposomale 2 mg/ml
Ενέσιμο Pentoxifyllin 5 mg/ml
Γλυκόζη 5% 4543
Άμεση βροχόπτωση Ασύμβατες
Ενέσιμο Amphotericin B liposomale 1 mg/ml
Ενέσιμο Telavancin hydrochloride 7,5 mg/ml
Γλυκόζη 5% 3254
Άμεση βροχόπτωση Ασύμβατες
Ενέσιμο Amphotericin B liposomale 1.16 mg/ml
Ενέσιμο Vancomycin hydrochloride 10 & 62.5 & 83.3 mg/ml
Γλυκόζη 5% 4254
Άμεση βροχόπτωση Ασύμβατες
Ενέσιμο Amphotericin B liposomale
Χλωριούχο νάτριο 0,9% 3398
Σύμφωνος
Ενέσιμο Amphotericin B liposomale 2 mg/ml
Ενέσιμο Sildenafil citrate 0,6 mg/ml
Γλυκόζη 5% 4845

  Mentions Légales