Utolsó frissítés :
27/04/2026
Gombaellenes szer   Amphotericin B liposomale  
Injekció
Szemcsepp
Az oldatok stabilitása A keverékek stabilitása Stabilitást befolyásoló tényezők Kompatibilitás Az alkalmazás módja Irodalom pdf
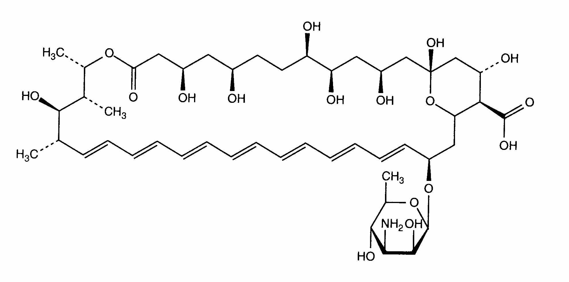
Liposzóma   Kémiai szerkezet   

Kereskedelmi név   Kereskedelmi név     

A kereskedelmi név meghatározó jelentőségű: a készítmények összetétele országonként, előállítóként eltérő lehet

Ambisome Amerikai Egyesült Államok, Argentína, Ausztria, Belgium, Brazília, Chile, Dánia, Egyesült Arab Emírségek, Egyiptom, Finnország, Franciaország, Görögország, Hollandia, India, Írország, Izland, Japán, Kanada, Lengyelország, Luxemburg, Magyarország, Nagy-Britannia, Németország, Norvégia, Olaszország, Peru, Portugália, Spanyolország, Svájc, Svédország, Szaúd-Arábiában, Thaiföld, Törökország, új-Zéland
Kompatibilitás   Injekció   Kompatibilitás : Amphotericin B liposomale              
Ovdje su prikazane kompatibilnosti ili nekompatibilnosti s tipom nekompatibilnosti (taloženje, promjena boje, modifikacija emulzije itd.) u ovom slučaju. Kompatibilnosti prikazane ovdje najčešće su fizikalne dok se kemijska stabilnost molekule rijetko procjenjuje. Procjena ovih mikstura je proučavana kako bi se razmotrila mogućnost primjene lijeka putem Y-mjesta. Ovi se podaci ne smiju koristiti za pripremu mikstura unaprijed u vrećicama ili štrcaljkama. Ova vrsta informacije se može pronaći u odjeljku « stabilnost u miksturama ».
Vegyület Oldószer Irodalom
Azonnali csapadék Összeegyeztethetetlen
Injekció Amphotericin B liposomale
Injekcióhoz való víz + antibakteriális szer 3398
Összeegyeztethető
Injekció Amphotericin B liposomale 2 mg/ml
Injekció Amoxicillin sodium / clavulanic acid 100/10 mg/ml
3824
Összeegyeztethető
Injekció Amphotericin B liposomale 4 mg/ml
Injekció Caffeine 10 mg/ml
Egy sem 3964
Azonnali zavarosság Összeegyeztethetetlen
Injekció Amphotericin B liposomale 2 mg/ml
Injekció Caffeine citrate 20 mg/ml
4837
Meghatározatlan összeférhetetlenség Összeegyeztethetetlen
Injekció Amphotericin B liposomale
Injekció Calcium gluconate
3644
Összeegyeztethetetlen
Injekció Amphotericin B liposomale
Injekció Calcium gluconate
4964
Összeegyeztethető
Injekció Amphotericin B liposomale 4 mg/ml
Ringer-laktát oldat 4603
Összeegyeztethető
Injekció Amphotericin B liposomale
5% glükóz 3398
Összeegyeztethető
Injekció Amphotericin B liposomale 1 mg/ml
Injekció Anidulafungin 0.5 mg/ml
5% glükóz 1982
Összeegyeztethető
Injekció Amphotericin B liposomale 1 mg/ml
Injekció Blinatumomab 0.125 & 0.375 µg/ml
0,9% nátrium-klorid 3976
Összeegyeztethető
Injekció Amphotericin B liposomale 2 mg/ml
Injekció Caffeine 10 mg/ml
5% glükóz 4837
Azonnali csapadék Összeegyeztethetetlen
Injekció Amphotericin B liposomale 1 mg/ml
Injekció Caspofungin acetate 0,7 mg/ml
0,9% nátrium-klorid 2247
Azonnali zavarosság Összeegyeztethetetlen
Injekció Amphotericin B liposomale 2 mg/ml
Injekció Ceftolozane / tazobactam 10/5 mg/ml
5% glükóz 3828
Összeegyeztethető
Injekció Amphotericin B liposomale 4 mg/ml
Injekció Cloxacillin sodium 100 mg/ml
Injekcióhoz való víz 3012
Összeegyeztethető
Injekció Amphotericin B liposomale 2 mg/ml
Injekció Defibrotide 8 mg/ml
0,9% nátrium-klorid 3728
Összeegyeztethető
Injekció Amphotericin B liposomale 1 mg/ml
Injekció Doripenem 5 mg/ml
5% glükóz 2262
Azonnali zavarosság Összeegyeztethetetlen
Injekció Amphotericin B liposomale 1 mg/ml
Injekció Doripenem 5 mg/ml
0,9% nátrium-klorid 2262
A zavarosság elvesztése Összeegyeztethetetlen
Injekció Amphotericin B liposomale 2 mg/ml
Injekció Fosfomycin 30 mg/ml
5% glükóz 4055
Azonnali zavarosság Összeegyeztethetetlen
Injekció Amphotericin B liposomale 2 mg/ml
Injekció Isavuconazonium sulfate 1.5 mg/ml
5% glükóz 3829
Összeegyeztethető
Injekció Amphotericin B liposomale 2 mg/ml
Injekció Meropenem 50 mg/ml
4319
Összeegyeztethető
Injekció Amphotericin B liposomale 2 mg/ml
Injekció Paracetamol 10 mg/ml
4742
Összeegyeztethető
Injekció Amphotericin B liposomale 2 mg/ml
Injekció Pentoxifyllin 5 mg/ml
5% glükóz 4543
Azonnali csapadék Összeegyeztethetetlen
Injekció Amphotericin B liposomale 1 mg/ml
Injekció Telavancin hydrochloride 7,5 mg/ml
5% glükóz 3254
Azonnali csapadék Összeegyeztethetetlen
Injekció Amphotericin B liposomale 1.16 mg/ml
Injekció Vancomycin hydrochloride 10 & 62.5 & 83.3 mg/ml
5% glükóz 4254
Azonnali csapadék Összeegyeztethetetlen
Injekció Amphotericin B liposomale
0,9% nátrium-klorid 3398
Összeegyeztethető
Injekció Amphotericin B liposomale 2 mg/ml
Injekció Sildenafil citrate 0,6 mg/ml
5% glükóz 4845

  Mentions Légales