Poslední aktualizace :
27/04/2026
Protiplísňový přípravek   Amphotericin B liposomale  
injekce
Humbuk
Stabilita roztoků Stabilita směsí Faktory ovlivňující stabilitu Kompatibilita Způsoby aplikace Odkazy pdf
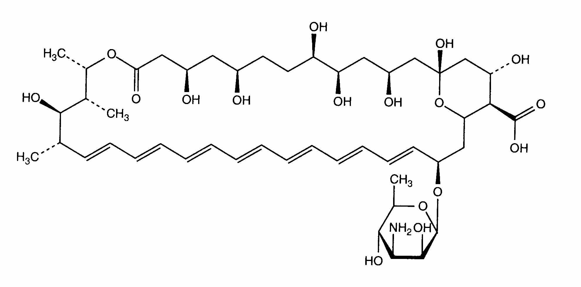
Lipozom   Chemický vzorec  

Obchodní název   Obchodní název     

Trade names are indicative and excipients composition can be different depending on the country and manufacturers

Ambisome äpanÏlsko, Argentina, Belgie, BrazÌlie, Chile, Dánsko, Egypt, Finsko, Francie, Indie, Irsko, Island, Itálie, Japonsko, Kanada, Lucembursko, MaÔarsko, NÏmecko, Nizozemsko, Norsko, nový Zéland, Peru, Polsko, Portugalsko, Rakousko, Saúdská Arábie, Spojené arabské emiráty, Švédsko, Švýcarsko, Thajsko, Turecko, USA, Velká Británie, ÿecko
Kompatibilita   injekce   Kompatibilita : Amphotericin B liposomale              
Tato obrazovka ukazuje kompatibilitu nebo nekompatibilitu s, v tomto případě, typem nekompatibility (srážení, změna barvy, modifikace emulze atd.). Zde uvedené kompatibility jsou většinou pouze fyzikální, přičemž chemická stabilita každé molekuly je zřídka hodnocena. Hodnocení těchto směsí bylo studováno, aby se zvážila možnost podání Y-místa pacientovi. Tyto údaje nelze použít k přípravě směsí předem v pytlích nebo stříkačkách. Tento typ informací je k dispozici na obrazovce „Stabilita ve směsi“.
SlouËenina RozpouötÏdlo Odkazy
Okamžité srážení Nekompatibilní
injekce Amphotericin B liposomale
Voda pro injekci +antibakteriální přísada 3398
Kompatibilní
injekce Amphotericin B liposomale 2 mg/ml
injekce Amoxicillin sodium / clavulanic acid 100/10 mg/ml
3824
Kompatibilní
injekce Amphotericin B liposomale 4 mg/ml
injekce Caffeine 10 mg/ml
Žádné 3964
Okamžitá zákal Nekompatibilní
injekce Amphotericin B liposomale 2 mg/ml
injekce Caffeine citrate 20 mg/ml
4837
Nespecifikovaná nekompatibilita Nekompatibilní
injekce Amphotericin B liposomale
injekce Calcium gluconate
3644
Nekompatibilní
injekce Amphotericin B liposomale
injekce Calcium gluconate
4964
Kompatibilní
injekce Amphotericin B liposomale 4 mg/ml
RingerŐs laktátový roztok 4603
Kompatibilní
injekce Amphotericin B liposomale
GlukÛza 5% 3398
Kompatibilní
injekce Amphotericin B liposomale 1 mg/ml
injekce Anidulafungin 0.5 mg/ml
GlukÛza 5% 1982
Kompatibilní
injekce Amphotericin B liposomale 1 mg/ml
injekce Blinatumomab 0.125 & 0.375 µg/ml
Chlorid sodný 0,9% 3976
Kompatibilní
injekce Amphotericin B liposomale 2 mg/ml
injekce Caffeine 10 mg/ml
GlukÛza 5% 4837
Okamžité srážení Nekompatibilní
injekce Amphotericin B liposomale 1 mg/ml
injekce Caspofungin acetate 0,7 mg/ml
Chlorid sodný 0,9% 2247
Okamžitá zákal Nekompatibilní
injekce Amphotericin B liposomale 2 mg/ml
injekce Ceftolozane / tazobactam 10/5 mg/ml
GlukÛza 5% 3828
Kompatibilní
injekce Amphotericin B liposomale 4 mg/ml
injekce Cloxacillin sodium 100 mg/ml
Voda pro injekci 3012
Kompatibilní
injekce Amphotericin B liposomale 2 mg/ml
injekce Defibrotide 8 mg/ml
Chlorid sodný 0,9% 3728
Kompatibilní
injekce Amphotericin B liposomale 1 mg/ml
injekce Doripenem 5 mg/ml
GlukÛza 5% 2262
Okamžitá zákal Nekompatibilní
injekce Amphotericin B liposomale 1 mg/ml
injekce Doripenem 5 mg/ml
Chlorid sodný 0,9% 2262
Ztráta zákalu Nekompatibilní
injekce Amphotericin B liposomale 2 mg/ml
injekce Fosfomycin 30 mg/ml
GlukÛza 5% 4055
Okamžitá zákal Nekompatibilní
injekce Amphotericin B liposomale 2 mg/ml
injekce Isavuconazonium sulfate 1.5 mg/ml
GlukÛza 5% 3829
Kompatibilní
injekce Amphotericin B liposomale 2 mg/ml
injekce Meropenem 50 mg/ml
4319
Kompatibilní
injekce Amphotericin B liposomale 2 mg/ml
injekce Paracetamol 10 mg/ml
4742
Kompatibilní
injekce Amphotericin B liposomale 2 mg/ml
injekce Pentoxifyllin 5 mg/ml
GlukÛza 5% 4543
Okamžité srážení Nekompatibilní
injekce Amphotericin B liposomale 1 mg/ml
injekce Telavancin hydrochloride 7,5 mg/ml
GlukÛza 5% 3254
Okamžité srážení Nekompatibilní
injekce Amphotericin B liposomale 1.16 mg/ml
injekce Vancomycin hydrochloride 10 & 62.5 & 83.3 mg/ml
GlukÛza 5% 4254
Okamžité srážení Nekompatibilní
injekce Amphotericin B liposomale
Chlorid sodný 0,9% 3398
Kompatibilní
injekce Amphotericin B liposomale 2 mg/ml
injekce Sildenafil citrate 0,6 mg/ml
GlukÛza 5% 4845

  Mentions Légales