Letztes “update” :
27/04/2026
Antifungoid   Amphotericin B liposomale  
Injektion
Augentropfen
Stabilität der Lösung Gemengestabilität Stabilitätbeeinflussende Faktoren Kompatibilitäten Applikationsart Literaturverzeichnis pdf
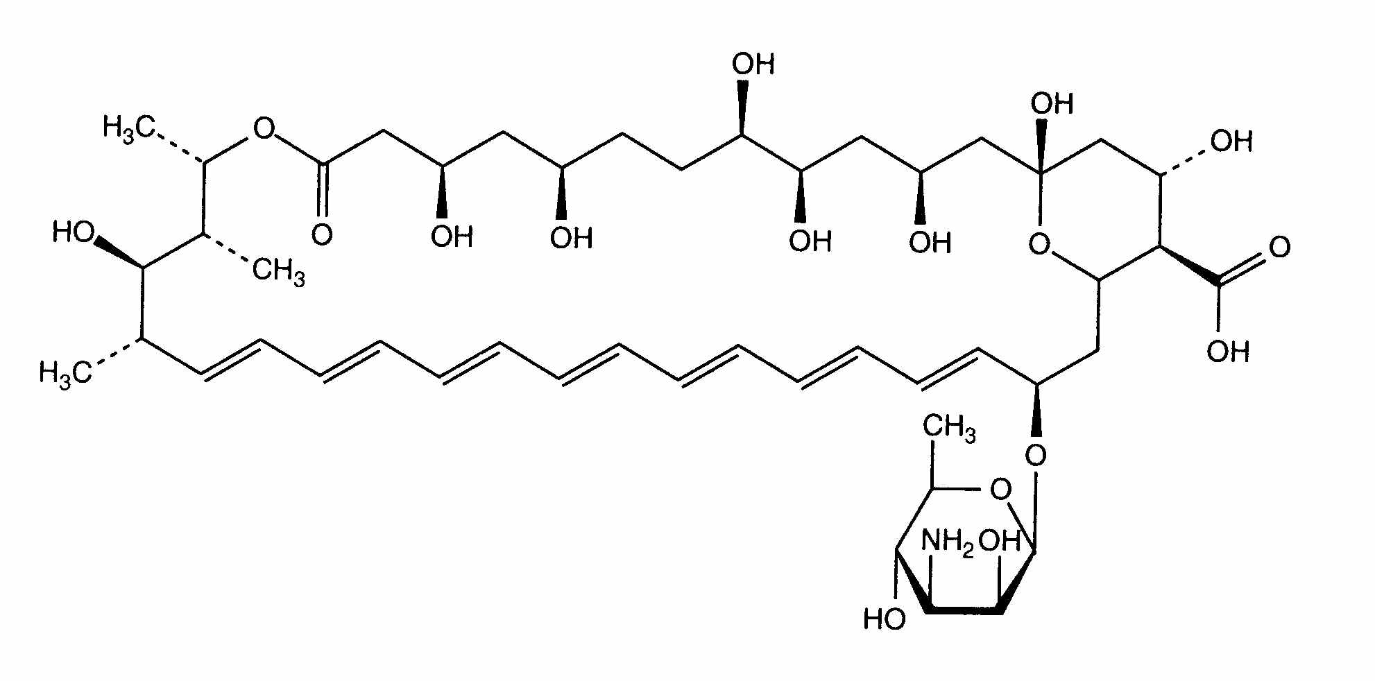
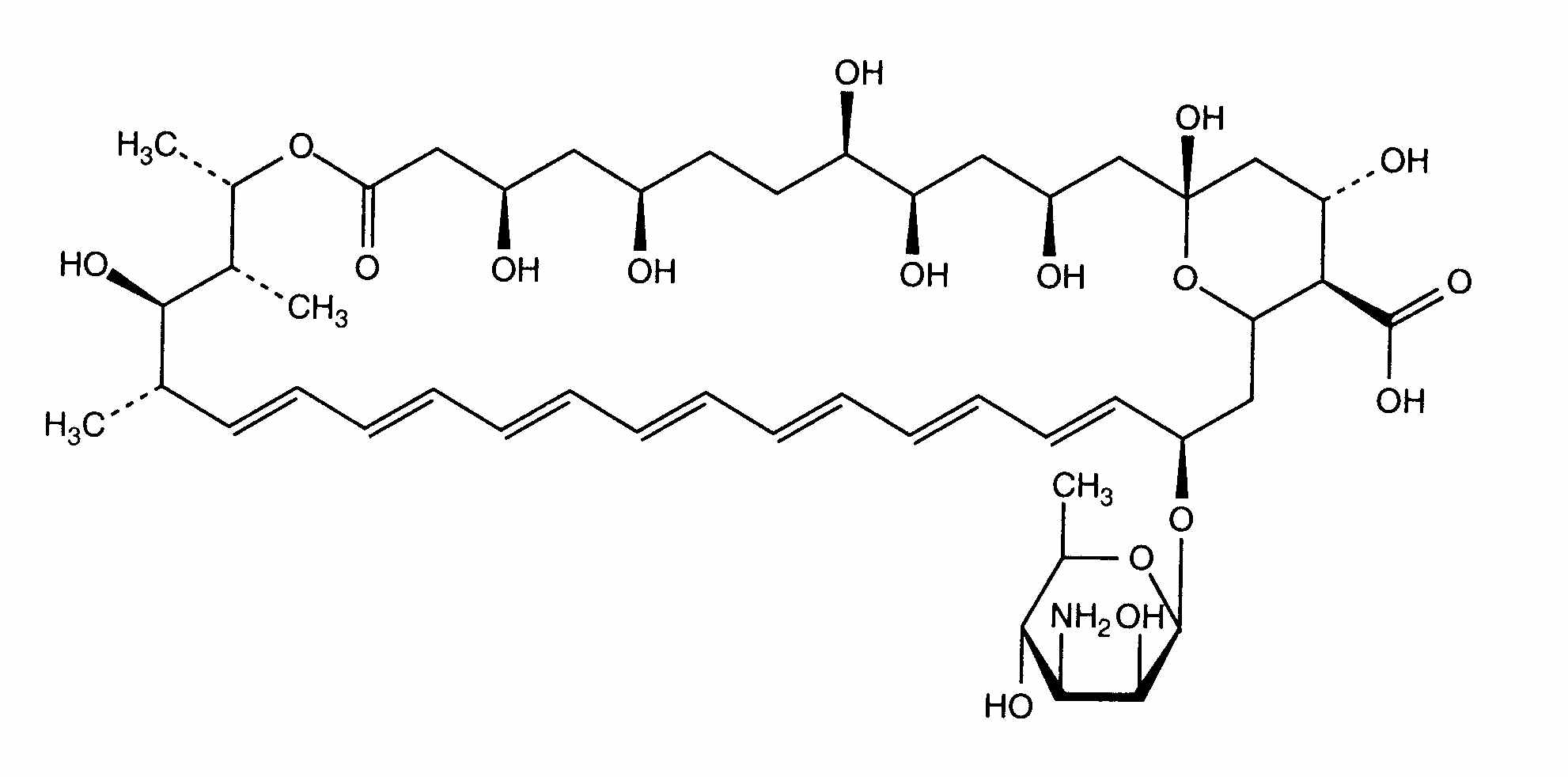
Liposom   Chemische Struktur  

Handelsmarke   Handelsmarke     

Handelsnamen sind als beispielhaft anzusehen. Sonstige Bestandteile können je nach Hersteller oder Land verschieden sein

Ambisome Ägypten, Argentinien, Belgien, Brasilien, Chile, Dänemark, Deutschland, Finnland, Frankreich, Griechenland, Großbritannien, Indien, Irland, Island, Italien, Japan, Kanada, Luxemburg, Neuseeland, Niederlande, Norwegen, Österreich, Peru, Polen, Portugal, Saudi-Arabien, Schweden, Schweiz, Spanien, Thailand, Türkei, Ungarn, Vereinigte Arabische Emirate, Vereinigte Staaten von Amerika
Kompatibilitäten   Injektion   Kompatibilitäten : Amphotericin B liposomale              
Dieser Bildschirm zeigt die Kompatibilitäten oder Inkompatibilitäten mit der Art der Inkompatibilität (hier: Ausfällung, Farbänderung, Modifikation einer Emulsion usw.) an. Die hier gezeigten Kompatibilitäten sind meist nur physikalisch, wobei die chemische Stabilität jedes Moleküls selten bewertet wird. Die Bewertung dieser Gemische wurde untersucht, um die Möglichkeit einer Verabreichung über eine Y-Verbindung zu berücksichtigen. Diese Daten können daher nicht zur Herstellung von Mischungen im Voraus in Beuteln oder Spritzen verwendet werden. Sie finden diese Informationen auf dem Bildschirm "Stabilität in Mischung».
Molekül Lösungsmittel Literaturverzeichnis
Sofortiger Niederschlag nicht kompatibel
Injektion Amphotericin B liposomale
Bakteriostatisches  Wasser 3398
kompatibel
Injektion Amphotericin B liposomale 2 mg/ml
Injektion Amoxicillin sodium / clavulanic acid 100/10 mg/ml
3824
kompatibel
Injektion Amphotericin B liposomale 4 mg/ml
Injektion Caffeine 10 mg/ml
Kein 3964
Sofortige Trübung nicht kompatibel
Injektion Amphotericin B liposomale 2 mg/ml
Injektion Caffeine citrate 20 mg/ml
4837
Nicht spezifizierte Inkompatibilität nicht kompatibel
Injektion Amphotericin B liposomale
Injektion Calcium gluconate
3644
nicht kompatibel
Injektion Amphotericin B liposomale
Injektion Calcium gluconate
4964
kompatibel
Injektion Amphotericin B liposomale 4 mg/ml
Ringer Lactat - Lösung 4603
kompatibel
Injektion Amphotericin B liposomale
5% Glucose 3398
kompatibel
Injektion Amphotericin B liposomale 1 mg/ml
Injektion Anidulafungin 0.5 mg/ml
5% Glucose 1982
kompatibel
Injektion Amphotericin B liposomale 1 mg/ml
Injektion Blinatumomab 0.125 & 0.375 µg/ml
0,9% Natriumchlorid 3976
kompatibel
Injektion Amphotericin B liposomale 2 mg/ml
Injektion Caffeine 10 mg/ml
5% Glucose 4837
Sofortiger Niederschlag nicht kompatibel
Injektion Amphotericin B liposomale 1 mg/ml
Injektion Caspofungin acetate 0,7 mg/ml
0,9% Natriumchlorid 2247
Sofortige Trübung nicht kompatibel
Injektion Amphotericin B liposomale 2 mg/ml
Injektion Ceftolozane / tazobactam 10/5 mg/ml
5% Glucose 3828
kompatibel
Injektion Amphotericin B liposomale 4 mg/ml
Injektion Cloxacillin sodium 100 mg/ml
Wasser für injektable präparate 3012
kompatibel
Injektion Amphotericin B liposomale 2 mg/ml
Injektion Defibrotide 8 mg/ml
0,9% Natriumchlorid 3728
kompatibel
Injektion Amphotericin B liposomale 1 mg/ml
Injektion Doripenem 5 mg/ml
5% Glucose 2262
Sofortige Trübung nicht kompatibel
Injektion Amphotericin B liposomale 1 mg/ml
Injektion Doripenem 5 mg/ml
0,9% Natriumchlorid 2262
Trübungsverlust nicht kompatibel
Injektion Amphotericin B liposomale 2 mg/ml
Injektion Fosfomycin 30 mg/ml
5% Glucose 4055
Sofortige Trübung nicht kompatibel
Injektion Amphotericin B liposomale 2 mg/ml
Injektion Isavuconazonium sulfate 1.5 mg/ml
5% Glucose 3829
kompatibel
Injektion Amphotericin B liposomale 2 mg/ml
Injektion Meropenem 50 mg/ml
4319
kompatibel
Injektion Amphotericin B liposomale 2 mg/ml
Injektion Paracetamol 10 mg/ml
4742
kompatibel
Injektion Amphotericin B liposomale 2 mg/ml
Injektion Pentoxifyllin 5 mg/ml
5% Glucose 4543
Sofortiger Niederschlag nicht kompatibel
Injektion Amphotericin B liposomale 1 mg/ml
Injektion Telavancin hydrochloride 7,5 mg/ml
5% Glucose 3254
Sofortiger Niederschlag nicht kompatibel
Injektion Amphotericin B liposomale 1.16 mg/ml
Injektion Vancomycin hydrochloride 10 & 62.5 & 83.3 mg/ml
5% Glucose 4254
Sofortiger Niederschlag nicht kompatibel
Injektion Amphotericin B liposomale
0,9% Natriumchlorid 3398
kompatibel
Injektion Amphotericin B liposomale 2 mg/ml
Injektion Sildenafil citrate 0,6 mg/ml
5% Glucose 4845

  Mentions Légales