Pēdējā atjaunošana :
27/04/2026
Pretsēnīšu līdzeklis   Amphotericin B liposomale  
Injekcija
Acu pilieni
Šķīduma stabilitāte Maisījuma stabilitāte Stabilitāti ietekmējoši faktori Saderība Levadīšanas veids Literatūras saraksts pdf
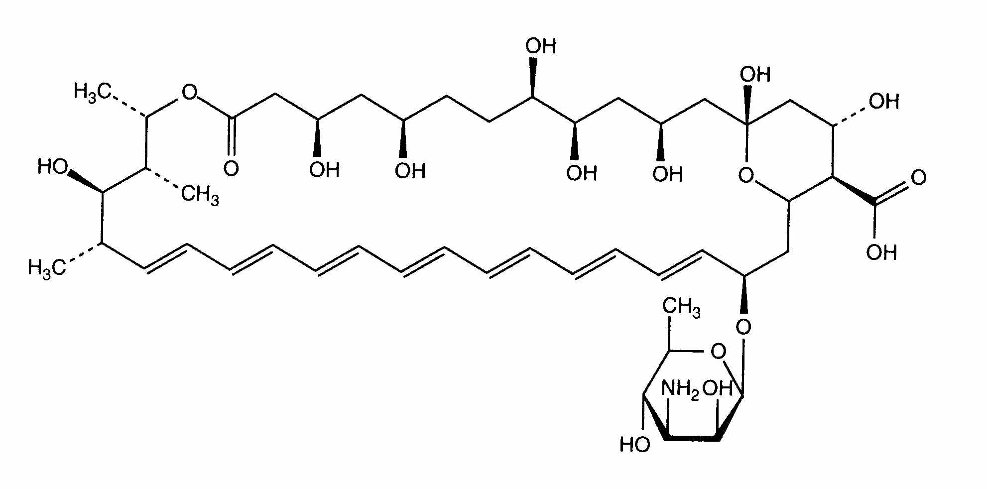
Liposoma   Ķīmiskā uzbūve   

Oriģinālais nosaukums   Oriģinālais nosaukums     

Tirdzniecības nosaukumi ir apzīmējoši un palīgvielas var atšķirties dažādām valstīm un laboratorijām

Ambisome Amerikas Savienotās Valstis, Apvienotie Arābu Emirāti, Argentīna, Austrija, Beļģija, Brazīlija, Čīle, Dānija, Ēģipte, Francija, Grieķija, Holande, Indija, Īrija, Islande, Itālija, Japāna, Jaunzēlande, Kanāda, Lielbritānija, Luksemburga, Norvēģija, Peru, Polija, Portugāle, Saūda Arābija, Somija, Spānija, Šveice, Taizeme, Turcija, Ungārija, Vācija, Zviedrija
Saderība   Injekcija   Saderība : Amphotericin B liposomale              
Šī tabula parāda zāļu saderību vai nesaderību, pēc iespējas arī nesaderības tipu (precipitācija, krāsas maiņa, emulsijas sadalīšanās utt). Parādītas šeit saderības ir pārsvarā tikai fizikālās, pēc iespējas tiek parādīta ķīmiskā stabilitāte katrai molekulai. Šo maisījumu analīze tikai veikta, lai izprastu iespējamību ievadīt zāles Y-savienojuma vietā sistēmā pacientam. Šie dati nevar tikt izmantoti, lai pagatavot zāļu maisījumus vēlākai lietošanai maisos vai šļircēs. Šī informācija ir pieejama sadaļā "Maisījuma stabilitāte".
Savienojums Šķīdinātājs Literatūras saraksts
Tūlītēji nokrišņi Nesavienojams
Injekcija Amphotericin B liposomale
Ūdens injekcijām + antibakteriāls 3398
Savietojams
Injekcija Amphotericin B liposomale 2 mg/ml
Injekcija Amoxicillin sodium / clavulanic acid 100/10 mg/ml
3824
Savietojams
Injekcija Amphotericin B liposomale 4 mg/ml
Injekcija Caffeine 10 mg/ml
Nekāds 3964
Tūlītēja duļķainība Nesavienojams
Injekcija Amphotericin B liposomale 2 mg/ml
Injekcija Caffeine citrate 20 mg/ml
4837
Neprecizēta nesaderība Nesavienojams
Injekcija Amphotericin B liposomale
Injekcija Calcium gluconate
3644
Nesavienojams
Injekcija Amphotericin B liposomale
Injekcija Calcium gluconate
4964
Savietojams
Injekcija Amphotericin B liposomale 4 mg/ml
Ringera laktāta šķīdums 4603
Savietojams
Injekcija Amphotericin B liposomale
5% glikoze 3398
Savietojams
Injekcija Amphotericin B liposomale 1 mg/ml
Injekcija Anidulafungin 0.5 mg/ml
5% glikoze 1982
Savietojams
Injekcija Amphotericin B liposomale 1 mg/ml
Injekcija Blinatumomab 0.125 & 0.375 µg/ml
Nātrija hlorīds 0.9% 3976
Savietojams
Injekcija Amphotericin B liposomale 2 mg/ml
Injekcija Caffeine 10 mg/ml
5% glikoze 4837
Tūlītēji nokrišņi Nesavienojams
Injekcija Amphotericin B liposomale 1 mg/ml
Injekcija Caspofungin acetate 0,7 mg/ml
Nātrija hlorīds 0.9% 2247
Tūlītēja duļķainība Nesavienojams
Injekcija Amphotericin B liposomale 2 mg/ml
Injekcija Ceftolozane / tazobactam 10/5 mg/ml
5% glikoze 3828
Savietojams
Injekcija Amphotericin B liposomale 4 mg/ml
Injekcija Cloxacillin sodium 100 mg/ml
Ūdens injekcijām 3012
Savietojams
Injekcija Amphotericin B liposomale 2 mg/ml
Injekcija Defibrotide 8 mg/ml
Nātrija hlorīds 0.9% 3728
Savietojams
Injekcija Amphotericin B liposomale 1 mg/ml
Injekcija Doripenem 5 mg/ml
5% glikoze 2262
Tūlītēja duļķainība Nesavienojams
Injekcija Amphotericin B liposomale 1 mg/ml
Injekcija Doripenem 5 mg/ml
Nātrija hlorīds 0.9% 2262
Duļķainības zudums Nesavienojams
Injekcija Amphotericin B liposomale 2 mg/ml
Injekcija Fosfomycin 30 mg/ml
5% glikoze 4055
Tūlītēja duļķainība Nesavienojams
Injekcija Amphotericin B liposomale 2 mg/ml
Injekcija Isavuconazonium sulfate 1.5 mg/ml
5% glikoze 3829
Savietojams
Injekcija Amphotericin B liposomale 2 mg/ml
Injekcija Meropenem 50 mg/ml
4319
Savietojams
Injekcija Amphotericin B liposomale 2 mg/ml
Injekcija Paracetamol 10 mg/ml
4742
Savietojams
Injekcija Amphotericin B liposomale 2 mg/ml
Injekcija Pentoxifyllin 5 mg/ml
5% glikoze 4543
Tūlītēji nokrišņi Nesavienojams
Injekcija Amphotericin B liposomale 1 mg/ml
Injekcija Telavancin hydrochloride 7,5 mg/ml
5% glikoze 3254
Tūlītēji nokrišņi Nesavienojams
Injekcija Amphotericin B liposomale 1.16 mg/ml
Injekcija Vancomycin hydrochloride 10 & 62.5 & 83.3 mg/ml
5% glikoze 4254
Tūlītēji nokrišņi Nesavienojams
Injekcija Amphotericin B liposomale
Nātrija hlorīds 0.9% 3398
Savietojams
Injekcija Amphotericin B liposomale 2 mg/ml
Injekcija Sildenafil citrate 0,6 mg/ml
5% glikoze 4845

  Mentions Légales